Viimeisin päivitys :
17/12/2025
Vasodilataattorit   Alprostadil  
Injektioneste
Stabilius liuoksessa Stabilius seoksissa Tekijät, jotka vaikuttavat stabiliuteen Yhteensopivuus Antotapa Viitteet pdf
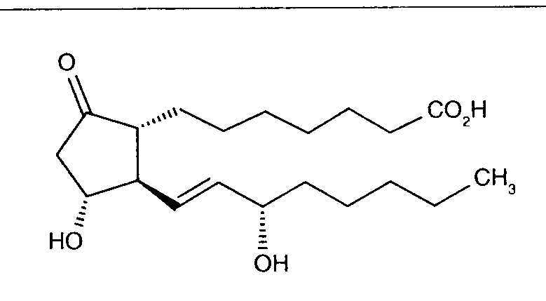
   Kemiallinen rakenne  

Kauppanimi   Kauppanimi     

Trade names are indicative and excipients composition can be different depending on the country and manufacturers

Alfaprostin Egypti
Alistint Marokko, Meksiko
Alprostadil Argentiina, Australia, Chile, Ecuador, Espanja, Kanada, Malesia, Marokko, Romania, Saksa, Saudi-Arabia, Turkki, Yhdysvallat
Alprostapint Argentiina, Ecuador, Itävalta, Kolumbia, Marokko, Unkari
Alprostar Italia
Aplicav
Cardiobonisol Puola
Caverject Belgia, Brasilia, Chile, Espanja, Iso-Britannia, Italia, Itävalta, Kanada, Kolumbia, Norja, Portugali, Puola, Ranska, Ruotsi, Slovenia, Sveitsi, Tanska, Turkki, Yhdistyneet arabiemiirikunnat, Yhdysvallat
Edex Kreikka, Ranska, Tunisia, Yhdysvallat
Liple Japani
Minprog Itävalta, Saksa
Ostapint Marokko, Meksiko
Palux Japani
Pridax Espanja, Itävalta, Romania, Saksa
Prolisina VR Argentiina
Prostandin Japani
Prostavasin Egypti, Iran, Italia, Itävalta, Luxemburg, Puola, Saksa, Unkari
Prostin VR Belgia, Hollanti, Iran, Iso-Britannia, Italia, Kanada, Kolumbia, Kreikka, Kroatia, Luxemburg, Malesia, Norja, Portugali, Puola, Saudi-Arabia, Suomi, Sveitsi, Tanska, Unkari, Venezuela, Yhdysvallat
Prostine VR Ranska
Vasaprostan Romania
Stabilius liuoksessa   Injektioneste   Stabilius liuoksessa : Alprostadil     
Astia Liuotin Konsentraatio Lämpötila Säilytys Vakauden kesto Viitteet
Lasi Natriumkloridi 0,9% 25 µg/ml 4°C Ei määritetty
82 Päivä
2003
Näytön laajuus B

Polyvinyylikloridi Natriumkloridi 0,9% 11 µg/ml 2-8°C Suojattava valolta
10 Päivä
3961
Näytön laajuus D

Polypropyleeni Glukoosi 10% 1.5 µg/ml 28-32°C Valo
48 tunti
4069
Näytön laajuus C+

Polypropyleeni Glukoosi 10% 15 µg/ml 28-32°C Valo
48 tunti
4069
Näytön laajuus C+

Ruisku  polypropeeni Glukoosi 10% 1,5 µg/ml 28-32°C Valo
48 tunti
3761
Näytön laajuus D

Ruisku  polypropeeni Glukoosi 10% 15 µg/ml 28-32°C Valo
48 tunti
3761
Näytön laajuus D

Ei määritetty Natriumkloridi 0,9% 10 µg/ml 2-8°C Suojattava valolta
15 Päivä
2151
Näytön laajuus B


  Mentions Légales