Posledná aktualizácia :
18/03/2026
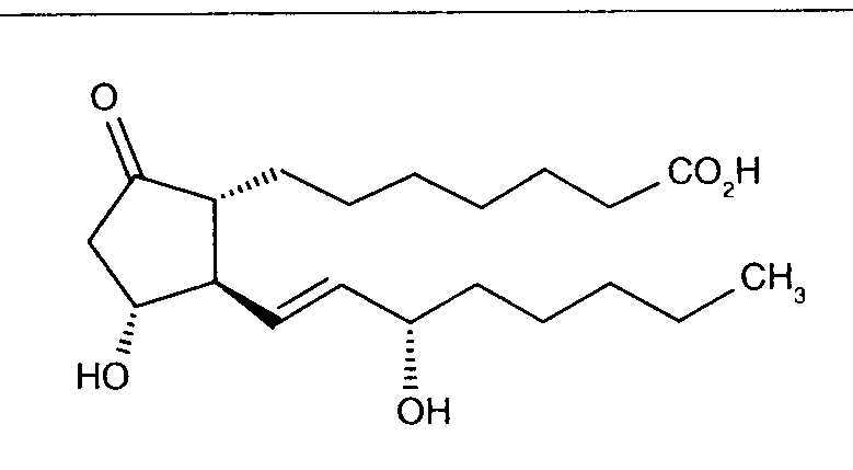
vazodilatans   Alprostadil  
Injekcia
Stabilita roztokov Stabilita v zmesiach Faktory ovplyvňujúce stabilitu Kompatibility spôsob podania Odkazy na literatúru PDF
   Chemický vzorec  

Obchodný názov   Obchodný názov     

Obchodné názvy sú orientačné, a zloženie pomocných látok sa môže líšiť v závislosti od krajiny a výrobcu.

Alfaprostin Egypt
Alistint Mexiko, peru
Alprostadil Argentína, Austrália, Čile, Ekvádor, Kanada, Malajzia, Nemecko, peru, Rumunsko, Saudská Arábia, Španielsko, Spojené štáty Americké, Turecko
Alprostapint Argentína, Ekvádor, Kolumbia, Maďarsko, peru, Rakúsko
Alprostar Taliansko
Aplicav
Cardiobonisol Poľsko
Caverject Belgicko, Brazília, Čile, Dánsko, Francúzsko, Kanada, Kolumbia, Nórsko, Poľsko, Portugalsko, Rakúsko, Slovinsko, Španielsko, Spojené arabské emiráty, Spojené štáty Americké, Švajčiarsko, Švédsko, Taliansko, Turecko, Veľká Británia
Edex Francúzsko, Grécko, Spojené štáty Americké, Tunisko
Liple Japonsko
Minprog Nemecko, Rakúsko
Ostapint Mexiko, peru
Palux Japonsko
Pridax Nemecko, Rakúsko, Rumunsko, Španielsko
Prolisina VR Argentína
Prostandin Japonsko
Prostavasin Egypt, Irán, Luxembursko, Maďarsko, Nemecko, Poľsko, Rakúsko, Taliansko
Prostin VR Belgicko, Chorvátsko, Dánsko, Fínsko, Grécko, Holandsko, Irán, Kanada, Kolumbia, Luxembursko, Maďarsko, Malajzia, Nórsko, Poľsko, Portugalsko, Saudská Arábia, Spojené štáty Americké, Švajčiarsko, Taliansko, Veľká Británia, Venezuela
Prostine VR Francúzsko
Vasaprostan Rumunsko
Stabilita roztokov   Injekcia   Stabilita roztokov : Alprostadil     
obal rozpúšťadlo koncentrácia teplota uchovávanie Trvanie stability odkazy na lieteratúru
Sklo 0,9% chlorid sodný 25 µg/ml 4°C nešpecifikované
82 dní
2003
Úroveň dôkazov B

polyvinylchlorid (PVC) 0,9% chlorid sodný 11 µg/ml 2-8°C Chránené pred svetlom
10 dní
3961
Úroveň dôkazov D

polypropylén 10% glukóza 1.5 µg/ml 28-32°C Za svetla
48 hodín
4069
Úroveň dôkazov C+

polypropylén 10% glukóza 15 µg/ml 28-32°C Za svetla
48 hodín
4069
Úroveň dôkazov C+

Injekčná striekačka polypropylén 10% glukóza 1,5 µg/ml 28-32°C Za svetla
48 hodín
3761
Úroveň dôkazov D

Injekčná striekačka polypropylén 10% glukóza 15 µg/ml 28-32°C Za svetla
48 hodín
3761
Úroveň dôkazov D

nešpecifikované 0,9% chlorid sodný 10 µg/ml 2-8°C Chránené pred svetlom
15 dní
2151
Úroveň dôkazov B


  Mentions Légales