Dernière mise à jour :
18/03/2026
Vasodilatateur   Alprostadil  
injectable
Stabilité des solutions Stabilité en mélange Facteur influençant la stabilité Compatibilités Voie d’administration Bibliographie pdf
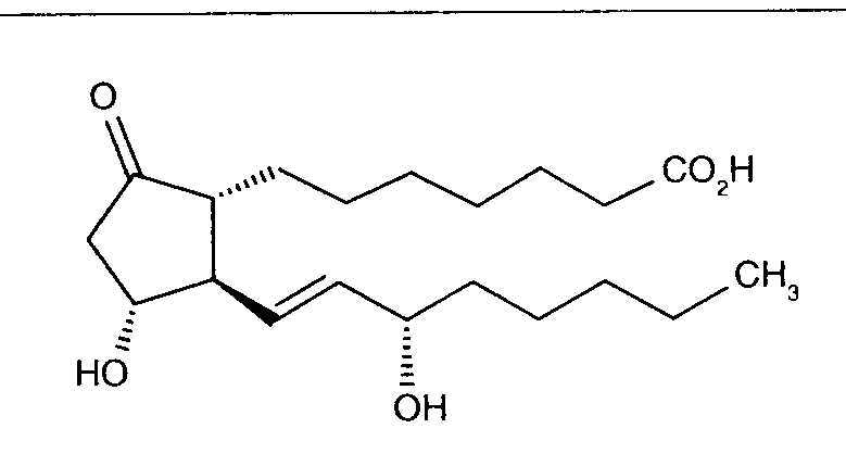
   Structure chimique  

Noms commerciaux   Noms commerciaux     

Les noms commerciaux sont donnés à titre indicatif et la composition en excipients peut être différente selon les pays et selon les laboratoires

Alfaprostin Egypte
Alistint Mexique, Pérou
Alprostadil Allemagne, Arabie Saoudite, Argentine, Australie, Canada, Chili, Equateur, Espagne, Etats Unis d’Amérique, Malaisie, Pérou, Roumanie, Turquie
Alprostapint Argentine, Autriche, Colombie, Equateur, Hongrie, Pérou
Alprostar Italie
Aplicav
Cardiobonisol Pologne
Caverject Autriche, Belgique, Brésil, Canada, Chili, Colombie, Danemark, Emirats Arabes Unis , Espagne, Etats Unis d’Amérique, France, Grande Bretagne, Italie, Norvège, Pologne, Portugal, Slovénie, Suède, Suisse, Turquie
Edex Etats Unis d’Amérique, France, Grèce, Tunisie
Liple Japon
Minprog Allemagne, Autriche
Ostapint Mexique, Pérou
Palux Japon
Pridax Allemagne, Autriche, Espagne, Roumanie
Prolisina VR Argentine
Prostandin Japon
Prostavasin Allemagne, Autriche, Egypte, Hongrie, Iran, Italie, Luxembourg, Pologne
Prostin VR Arabie Saoudite, Belgique, Canada, Colombie, Croatie, Danemark, Etats Unis d’Amérique, Finlande, Grande Bretagne, Grèce, Hongrie, Iran, Italie, Luxembourg, Malaisie, Norvège, Pays bas, Pologne, Portugal, Suisse, Vénézuela
Prostine VR France
Vasaprostan Roumanie
Stabilité des solutions   injectable   Stabilité des solutions : Alprostadil     
Contenant Solvant Concentration Température Conservation Durée de stabilité Bibliographie
Verre Chlorure de sodium 0,9% 25 µg/ml 4°C Non précisée
82 Jour
2003
Niveau de preuve B

Polyvinyl chlorure Chlorure de sodium 0,9% 11 µg/ml 2-8°C A l’abri de la lumière
10 Jour
3961
Niveau de preuve D

Polypropylène Glucose 10% 1.5 µg/ml 28-32°C Lumière
48 Heure
4069
Niveau de preuve C+

Polypropylène Glucose 10% 15 µg/ml 28-32°C Lumière
48 Heure
4069
Niveau de preuve C+

Seringue polypropylène Glucose 10% 1,5 µg/ml 28-32°C Lumière
48 Heure
3761
Niveau de preuve D

Seringue polypropylène Glucose 10% 15 µg/ml 28-32°C Lumière
48 Heure
3761
Niveau de preuve D

Non précisé Chlorure de sodium 0,9% 10 µg/ml 2-8°C A l’abri de la lumière
15 Jour
2151
Niveau de preuve B


  Mentions Légales