Последно актуализиране :
17/12/2025
Вазодилататор   Alprostadil  
Инжекция/Инжекционен
Стабилност на разтвори Стабилност на смеси Фактори, повлияващи стабилността Съвместимост Път на въвеждане Библиография Pdf
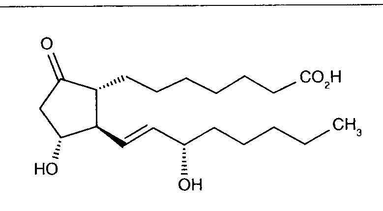
   Химична структура  

Търговско наименование   Търговско наименование     

Търговските имена са примерни и съставът на помощните вещества може да бъде различен в зависимост от държавата и лабораториите

Alfaprostin Египет
Alistint Мексико, Перу
Alprostadil Австралия, Аржентина, Германия, Еквадор, Испания, Канада, Малайзия, Перу, Румъния, Саудитска Арабия, Съединени Американски щати / САЩ, Турция, Чили
Alprostapint Австрия, Аржентина, Еквадор, Колумбия, Перу, Унгария
Alprostar Италия
Aplicav
Cardiobonisol Полша
Caverject Австрия, Белгия, Бразилия, Великобритания, Дания, Испания, Италия, Канада, Колумбия, Норвегия, Обединени арабски емирства, Полша, Португалия, Словения, Съединени Американски щати / САЩ, Турция, Франция, Чили, Швейцария, Швеция
Edex Гърция, Съединени Американски щати / САЩ, Тунис, Франция
Liple Япония
Minprog Австрия, Германия
Ostapint Мексико, Перу
Palux Япония
Pridax Австрия, Германия, Испания, Румъния
Prolisina VR Аржентина
Prostandin Япония
Prostavasin Австрия, Германия, Египет, Иран, Италия, Люксенбург, Полша, Унгария
Prostin VR Белгия, Великобритания, Венецуела, Гърция, Дания, Иран, Италия, Канада, Колумбия, Люксенбург, Малайзия, Норвегия, Полша, Португалия, Саудитска Арабия, Съединени Американски щати / САЩ, Унгария, Финландия, Холандия, Хърватия, Швейцария
Prostine VR Франция
Vasaprostan Румъния
Стабилност на разтвори   Инжекция/Инжекционен   Стабилност на разтвори : Alprostadil     
Контейнер Разтворител Концентрация Температура Съхранение Продължителност на стабилността Библиография
Стъкло Sodium chloride 0,9% 25 µg/ml 4°C Не е уточнено
82 Ден
2003
Степен на доказаност B

Поливинил хлорид Sodium chloride 0,9% 11 µg/ml 2-8°C Защита от светлина
10 Ден
3961
Степен на доказаност D

Полипропилен Glucose 10% 1.5 µg/ml 28-32°C Светлина
48 Час
4069
Степен на доказаност C+

Полипропилен Glucose 10% 15 µg/ml 28-32°C Светлина
48 Час
4069
Степен на доказаност C+

шприц полипропилен Glucose 10% 1,5 µg/ml 28-32°C Светлина
48 Час
3761
Степен на доказаност D

шприц полипропилен Glucose 10% 15 µg/ml 28-32°C Светлина
48 Час
3761
Степен на доказаност D

Не е уточнено Sodium chloride 0,9% 10 µg/ml 2-8°C Защита от светлина
15 Ден
2151
Степен на доказаност B


  Mentions Légales