Zadnji put ažurirano :
18/03/2026
vazodilatator   Alprostadil  
injekcija
Stabilizacija rješenja Stabilnost mješavine Stabilizacijski faktor Kompatibilnosti način davanja lijeka Bibliografija pdf
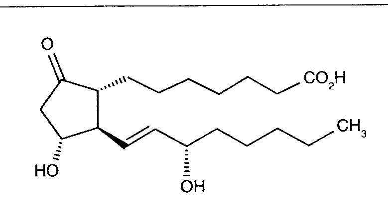
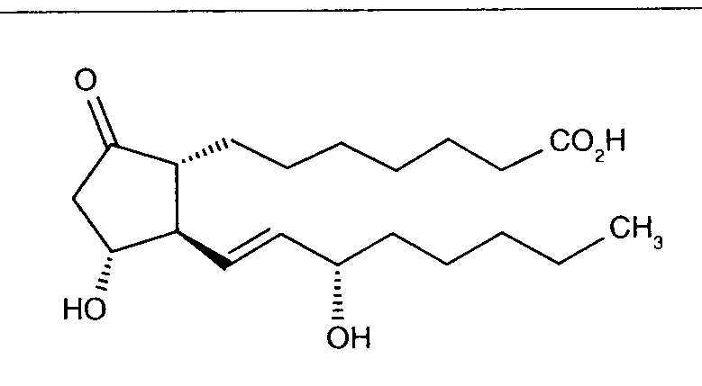
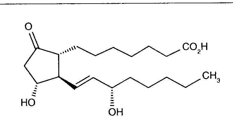
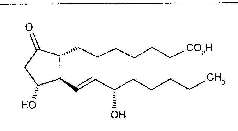
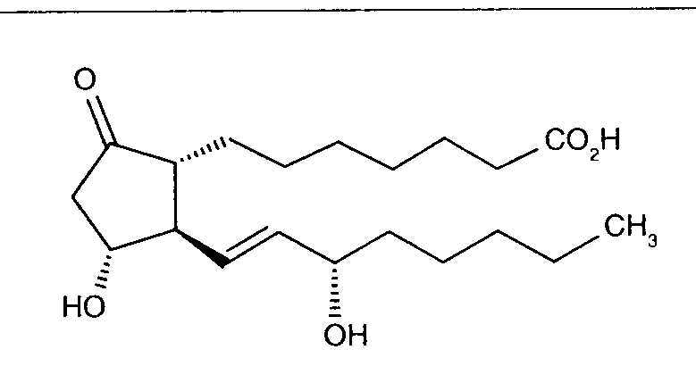
   Kemijska struktura  

Nekomercijalni   Nekomercijalni     

Zaštićeni nazivi su indikativni i sastav ekscipijensa može biti različit ovisno o državi i laboratorijima

Alfaprostin Egipat
Alistint Meksiko, Peru
Alprostadil Argentina, Australija, Čile, Ekvador, Kanada, Malezija, Njemačka, Peru, Rumunjska, S A D, Saudijska Arabija, Španjolska, Turska
Alprostapint Argentina, Austrija, Ekvador, Kolumbija, Madžarska, Peru
Alprostar Italija
Aplicav
Cardiobonisol Poljska
Caverject Austrija, Belgija, Brazil, Čile, Danska, Francuska, Italija, Kanada, Kolumbija, Norveška, Poljska, Portugal, S A D, Slovenija, Španjolska, Švedska, Švicarska, Turska, Ujedinjeni Arapski Emirati, Velika Britanija
Edex Francuska, Grčka, S A D, Tunis
Liple Japan
Minprog Austrija, Njemačka
Ostapint Meksiko, Peru
Palux Japan
Pridax Austrija, Njemačka, Rumunjska, Španjolska
Prolisina VR Argentina
Prostandin Japan
Prostavasin Austrija, Egipat, Iran, Italija, Luksemburg, Madžarska, Njemačka, Poljska
Prostin VR Belgija, Danska, Finska, Grčka, Hrvatska, Iran, Italija, Kanada, Kolumbija, Luksemburg, Madžarska, Malezija, Nizozemska, Norveška, Poljska, Portugal, S A D, Saudijska Arabija, Švicarska, Velika Britanija, Venecuela
Prostine VR Francuska
Vasaprostan Rumunjska
Stabilizacija rješenja   injekcija   Stabilizacija rješenja : Alprostadil     
Kontejner sredstvo za rastapanje koncentracija temperatura Konzerviranje Trajanje stabilnosti Bibliografija
čaša natrijumkorid 0,9% 25 µg/ml 4°C nespecifičan
82 dan
2003
Razina dokaza B

polivinilklorid natrijumkorid 0,9% 11 µg/ml 2-8°C Zaštićeno od svjetlosti
10 dan
3961
Razina dokaza D

polipropilen glukoza 10% 1.5 µg/ml 28-32°C svjetlost
48 sat
4069
Razina dokaza C+

polipropilen glukoza 10% 15 µg/ml 28-32°C svjetlost
48 sat
4069
Razina dokaza C+

špric polipropilen glukoza 10% 1,5 µg/ml 28-32°C svjetlost
48 sat
3761
Razina dokaza D

špric polipropilen glukoza 10% 15 µg/ml 28-32°C svjetlost
48 sat
3761
Razina dokaza D

nespecifičan natrijumkorid 0,9% 10 µg/ml 2-8°C Zaštićeno od svjetlosti
15 dan
2151
Razina dokaza B


  Mentions Légales