Останнє оновлення :
27/04/2026
Знеболювальний   Hydromorphone hydrochloride  
ін'єкція
Стійкість в розчинах Стійкість сумішей Фактори, що впливають на стабільність Сумісність Шлях введення Список літератури pdf
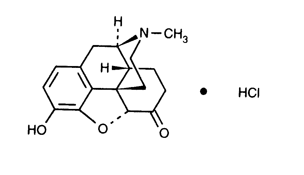
   Хімічна структура  

Торгова назва   Торгова назва     

Торгові назви є орієнтовними, а склад допоміжних речовин може бути різним залежно від країни та виробника

Dilaudid Канада, Сполучені Штати Америки
Hydal Австрія
Palladon Данія, Швейцарія
Palladone Великобританія
Стійкість в розчинах   ін'єкція   Стійкість в розчинах : Hydromorphone hydrochloride     
Контейнер Розчинник Концентрація температура Зберігання Тривалість стабільності Список літератури
скло Не визначено 50 mg/ml 37°C Берегти від світла
90 День
2305

Полівініл хлорид Натрію хлорид 0,9% ? mg/ml 25°C Не визначено
7 День
5073
Дані виробника про стабільність

Полівініл хлорид Натрію хлорид 0,9% ? mg/ml 37°C Не визначено
7 День
5073
Дані виробника про стабільність

Полівініл хлорид Натрію хлорид 0,9% ? mg/ml 4°C Не визначено
7 День
5073
Дані виробника про стабільність

Полівініл хлорид Натрію хлорид 0,9% 0,2 & 10 mg/ml 23°C Не визначено
90 День
4230
Рівень доказовості А

Полівініл хлорид Натрію хлорид 0,9% 1 & 5 mg/ml 23°C Не визначено
42 День
120
Рівень доказовості C

Полівініл хлорид Натрію хлорид 0,9% 1 & 5 mg/ml 4°C Берегти від світла
42 День
120
Рівень доказовості C

Полівініл хлорид Натрію хлорид 0,9% 20 mg/ml 22°C Не визначено
7 День
4664
Рівень доказовості D

Полівініл хлорид Натрію хлорид 0,9% 20 mg/ml 37°C Не визначено
7 День
4664
Рівень доказовості D

Полівініл хлорид Глюкоза 5% ? mg/ml 25°C Не визначено
7 День
5073
Дані виробника про стабільність

Полівініл хлорид Глюкоза 5% ? mg/ml 37°C Не визначено
7 День
5073
Дані виробника про стабільність

Полівініл хлорид Глюкоза 5% ? mg/ml 4°C Не визначено
7 День
5073
Дані виробника про стабільність

Полівініл хлорид Глюкоза 5% 1 & 5 mg/ml 23°C Не визначено
42 День
120
Рівень доказовості C

Полівініл хлорид Глюкоза 5% 1 & 5 mg/ml 4°C Берегти від світла
42 День
120
Рівень доказовості C

Поліетилен Натрію хлорид 0,9% ? mg/ml 25°C Не визначено
7 День
5073
Дані виробника про стабільність

Поліетилен Натрію хлорид 0,9% ? mg/ml 37°C Не визначено
7 День
5073
Дані виробника про стабільність

Поліетилен Натрію хлорид 0,9% ? mg/ml 4°C Не визначено
7 День
5073
Дані виробника про стабільність

Поліетилен Глюкоза 5% ? mg/ml 25°C Не визначено
7 День
5073
Дані виробника про стабільність

Поліетилен Глюкоза 5% ? mg/ml 37°C Не визначено
7 День
5073
Дані виробника про стабільність

Поліетилен Глюкоза 5% ? mg/ml 4°C Не визначено
7 День
5073
Дані виробника про стабільність

Поліолефін Натрію хлорид 0,9% 0,2 & 10 mg/ml 23°C Не визначено
90 День
4230
Рівень доказовості А

Етиленвінілацетат Натрію хлорид 0,9% ? mg/ml 25°C Не визначено
7 День
5073
Дані виробника про стабільність

Етиленвінілацетат Натрію хлорид 0,9% ? mg/ml 37°C Не визначено
7 День
5073
Дані виробника про стабільність

Етиленвінілацетат Натрію хлорид 0,9% ? mg/ml 4°C Не визначено
7 День
5073
Дані виробника про стабільність

Етиленвінілацетат Глюкоза 5% ? mg/ml 25°C Не визначено
7 День
5073
Дані виробника про стабільність

Етиленвінілацетат Глюкоза 5% ? mg/ml 37°C Не визначено
7 День
5073
Дані виробника про стабільність

Етиленвінілацетат Глюкоза 5% ? mg/ml 4°C Не визначено
7 День
5073
Дані виробника про стабільність

Поліпропіленовий шприц Натрію хлорид 0,9% ? mg/ml 25°C Не визначено
7 День
5073
Дані виробника про стабільність

Поліпропіленовий шприц Натрію хлорид 0,9% ? mg/ml 37°C Не визначено
7 День
5073
Дані виробника про стабільність

Поліпропіленовий шприц Натрію хлорид 0,9% ? mg/ml 4°C Не визначено
7 День
5073
Дані виробника про стабільність

Поліпропіленовий шприц Натрію хлорид 0,9% 0,1 mg/ml 25°C Не визначено
100 День
4303
Рівень доказовості А

Поліпропіленовий шприц Натрію хлорид 0,9% 0,1 mg/ml 30°C Не визначено
30 День
5
Рівень доказовості B

Поліпропіленовий шприц Натрію хлорид 0,9% 1,5 & 80 mg/ml 23°C світло
60 День
1706
Рівень доказовості А+

Поліпропіленовий шприц Натрію хлорид 0,9% 1,5 & 80 mg/ml 37°C Берегти від світла
48 годину
1706
Рівень доказовості А+

Поліпропіленовий шприц Натрію хлорид 0,9% 1,5 & 80 mg/ml 4°C Берегти від світла
60 День
1706
Рівень доказовості А+

Поліпропіленовий шприц Глюкоза 5% ? mg/ml 25°C Не визначено
7 День
5073
Дані виробника про стабільність

Поліпропіленовий шприц Глюкоза 5% ? mg/ml 37°C Не визначено
7 День
5073
Дані виробника про стабільність

Поліпропіленовий шприц Глюкоза 5% ? mg/ml 4°C Не визначено
7 День
5073
Дані виробника про стабільність

Поліпропіленовий шприц Жодного 10 mg/ml 30°C Не визначено
30 День
5
Рівень доказовості B

Не визначено Натрію хлорид 0,9% 0,2 mg/ml 20°C Зі світлом чи без
112 День
2659
Рівень доказовості А

Не визначено Натрію хлорид 0,9% 0,2 mg/ml 35°C Берегти від світла
112 День
2659
Рівень доказовості А

Не визначено Натрію хлорид 0,9% 0,2 mg/ml 5°C Берегти від світла
112 День
2659
Рівень доказовості А

Не визначено Жодного 10 mg/ml 37°C Берегти від світла
120 День
1867
Рівень доказовості D


  Mentions Légales