zadnja posodobitev :
27/04/2026
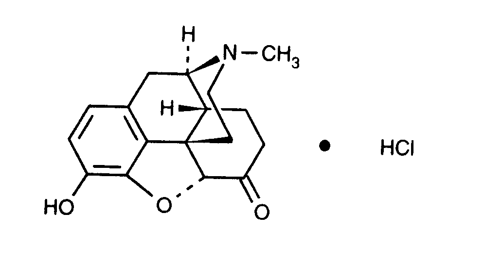
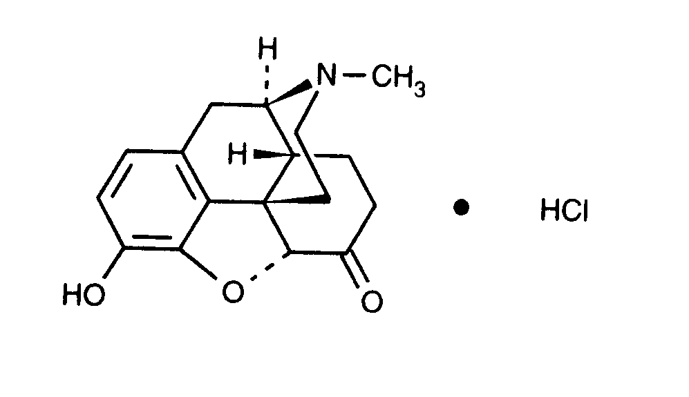
Analgetik   Hydromorphone hydrochloride  
Brizgalka
Stabilnost raztopine Stabilnost mešanice Faktorji, ki vplivajo na stabilnost Kompatibilnost način aplikacije Viri pdf
   Kemična formula  

Lastniško ime   Lastniško ime     

Sestava pomožnih snovi je med paralelami lahko različna

Dilaudid Kanada, Združene države Amerike
Hydal Avstrija
Palladon Danska, Švica
Palladone Velika Britanija
Stabilnost raztopine   Brizgalka   Stabilnost raztopine : Hydromorphone hydrochloride     
Vsebnik Topilo Koncentracija Temperatura Shranjevanje Trajanje stabilnosti Viri
Steklo nešpecifikované 50 mg/ml 37°C Zaščiteno pred svetlobo
90 Dan
2305

Polivinil klorid Natrijev klorid 0,9% ? mg/ml 25°C Nedoločeno
7 Dan
5073
Podatki stabilnosti proizvajalca

Polivinil klorid Natrijev klorid 0,9% ? mg/ml 37°C Nedoločeno
7 Dan
5073
Podatki stabilnosti proizvajalca

Polivinil klorid Natrijev klorid 0,9% ? mg/ml 4°C Nedoločeno
7 Dan
5073
Podatki stabilnosti proizvajalca

Polivinil klorid Natrijev klorid 0,9% 0,2 & 10 mg/ml 23°C Nedoločeno
90 Dan
4230
 Stopnja dokaza A

Polivinil klorid Natrijev klorid 0,9% 1 & 5 mg/ml 23°C Nedoločeno
42 Dan
120
 Stopnja dokaza C

Polivinil klorid Natrijev klorid 0,9% 1 & 5 mg/ml 4°C Zaščiteno pred svetlobo
42 Dan
120
 Stopnja dokaza C

Polivinil klorid Natrijev klorid 0,9% 20 mg/ml 22°C Nedoločeno
7 Dan
4664
 Stopnja dokaza D

Polivinil klorid Natrijev klorid 0,9% 20 mg/ml 37°C Nedoločeno
7 Dan
4664
 Stopnja dokaza D

Polivinil klorid Glukoza 5% ? mg/ml 25°C Nedoločeno
7 Dan
5073
Podatki stabilnosti proizvajalca

Polivinil klorid Glukoza 5% ? mg/ml 37°C Nedoločeno
7 Dan
5073
Podatki stabilnosti proizvajalca

Polivinil klorid Glukoza 5% ? mg/ml 4°C Nedoločeno
7 Dan
5073
Podatki stabilnosti proizvajalca

Polivinil klorid Glukoza 5% 1 & 5 mg/ml 23°C Nedoločeno
42 Dan
120
 Stopnja dokaza C

Polivinil klorid Glukoza 5% 1 & 5 mg/ml 4°C Zaščiteno pred svetlobo
42 Dan
120
 Stopnja dokaza C

Polietilen Natrijev klorid 0,9% ? mg/ml 25°C Nedoločeno
7 Dan
5073
Podatki stabilnosti proizvajalca

Polietilen Natrijev klorid 0,9% ? mg/ml 37°C Nedoločeno
7 Dan
5073
Podatki stabilnosti proizvajalca

Polietilen Natrijev klorid 0,9% ? mg/ml 4°C Nedoločeno
7 Dan
5073
Podatki stabilnosti proizvajalca

Polietilen Glukoza 5% ? mg/ml 25°C Nedoločeno
7 Dan
5073
Podatki stabilnosti proizvajalca

Polietilen Glukoza 5% ? mg/ml 37°C Nedoločeno
7 Dan
5073
Podatki stabilnosti proizvajalca

Polietilen Glukoza 5% ? mg/ml 4°C Nedoločeno
7 Dan
5073
Podatki stabilnosti proizvajalca

Poliolefin Natrijev klorid 0,9% 0,2 & 10 mg/ml 23°C Nedoločeno
90 Dan
4230
 Stopnja dokaza A

Etilenvinilacetat Natrijev klorid 0,9% ? mg/ml 25°C Nedoločeno
7 Dan
5073
Podatki stabilnosti proizvajalca

Etilenvinilacetat Natrijev klorid 0,9% ? mg/ml 37°C Nedoločeno
7 Dan
5073
Podatki stabilnosti proizvajalca

Etilenvinilacetat Natrijev klorid 0,9% ? mg/ml 4°C Nedoločeno
7 Dan
5073
Podatki stabilnosti proizvajalca

Etilenvinilacetat Glukoza 5% ? mg/ml 25°C Nedoločeno
7 Dan
5073
Podatki stabilnosti proizvajalca

Etilenvinilacetat Glukoza 5% ? mg/ml 37°C Nedoločeno
7 Dan
5073
Podatki stabilnosti proizvajalca

Etilenvinilacetat Glukoza 5% ? mg/ml 4°C Nedoločeno
7 Dan
5073
Podatki stabilnosti proizvajalca

Brizgalka polipropilen Natrijev klorid 0,9% ? mg/ml 25°C Nedoločeno
7 Dan
5073
Podatki stabilnosti proizvajalca

Brizgalka polipropilen Natrijev klorid 0,9% ? mg/ml 37°C Nedoločeno
7 Dan
5073
Podatki stabilnosti proizvajalca

Brizgalka polipropilen Natrijev klorid 0,9% ? mg/ml 4°C Nedoločeno
7 Dan
5073
Podatki stabilnosti proizvajalca

Brizgalka polipropilen Natrijev klorid 0,9% 0,1 mg/ml 25°C Nedoločeno
100 Dan
4303
 Stopnja dokaza A

Brizgalka polipropilen Natrijev klorid 0,9% 0,1 mg/ml 30°C Nedoločeno
30 Dan
5
 Stopnja dokaza B

Brizgalka polipropilen Natrijev klorid 0,9% 1,5 & 80 mg/ml 23°C Svetloba
60 Dan
1706
 Stopnja dokaza A+

Brizgalka polipropilen Natrijev klorid 0,9% 1,5 & 80 mg/ml 37°C Zaščiteno pred svetlobo
48 čas
1706
 Stopnja dokaza A+

Brizgalka polipropilen Natrijev klorid 0,9% 1,5 & 80 mg/ml 4°C Zaščiteno pred svetlobo
60 Dan
1706
 Stopnja dokaza A+

Brizgalka polipropilen Glukoza 5% ? mg/ml 25°C Nedoločeno
7 Dan
5073
Podatki stabilnosti proizvajalca

Brizgalka polipropilen Glukoza 5% ? mg/ml 37°C Nedoločeno
7 Dan
5073
Podatki stabilnosti proizvajalca

Brizgalka polipropilen Glukoza 5% ? mg/ml 4°C Nedoločeno
7 Dan
5073
Podatki stabilnosti proizvajalca

Brizgalka polipropilen Nobeden 10 mg/ml 30°C Nedoločeno
30 Dan
5
 Stopnja dokaza B

Nedoločeno Natrijev klorid 0,9% 0,2 mg/ml 20°C Z ali brez svetlobe
112 Dan
2659
 Stopnja dokaza A

Nedoločeno Natrijev klorid 0,9% 0,2 mg/ml 35°C Zaščiteno pred svetlobo
112 Dan
2659
 Stopnja dokaza A

Nedoločeno Natrijev klorid 0,9% 0,2 mg/ml 5°C Zaščiteno pred svetlobo
112 Dan
2659
 Stopnja dokaza A

Nedoločeno Nobeden 10 mg/ml 37°C Zaščiteno pred svetlobo
120 Dan
1867
 Stopnja dokaza D


  Mentions Légales