Последно актуализиране :
27/04/2026
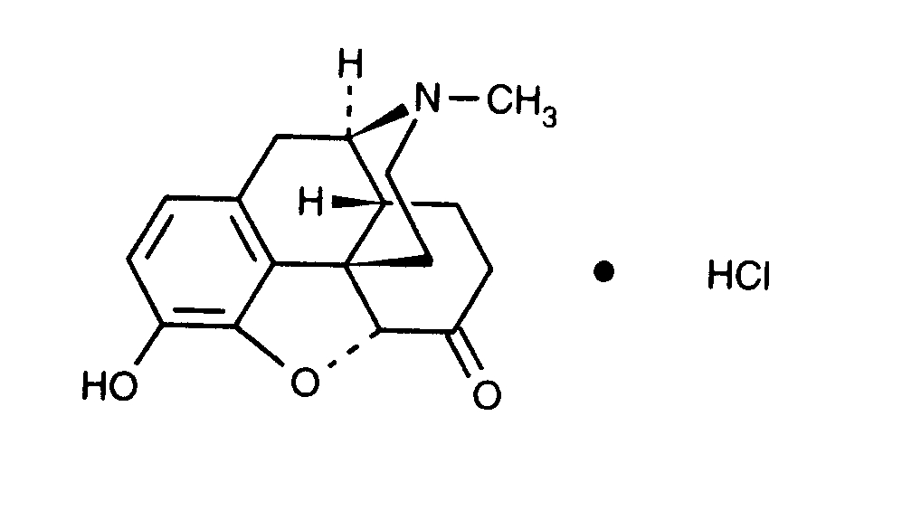
Аналгетик   Hydromorphone hydrochloride  
Инжекция/Инжекционен
Стабилност на разтвори Стабилност на смеси Фактори, повлияващи стабилността Съвместимост Път на въвеждане Библиография Pdf
   Химична структура  

Търговско наименование   Търговско наименование     

Търговските имена са примерни и съставът на помощните вещества може да бъде различен в зависимост от държавата и лабораториите

Dilaudid Канада, Съединени Американски щати / САЩ
Hydal Австрия
Palladon Дания, Швейцария
Palladone Великобритания
Стабилност на разтвори   Инжекция/Инжекционен   Стабилност на разтвори : Hydromorphone hydrochloride     
Контейнер Разтворител Концентрация Температура Съхранение Продължителност на стабилността Библиография
Стъкло Не е специфично 50 mg/ml 37°C Защита от светлина
90 Ден
2305

Поливинил хлорид Sodium chloride 0,9% ? mg/ml 25°C Не е уточнено
7 Ден
5073
Данни за стабилност на производителя

Поливинил хлорид Sodium chloride 0,9% ? mg/ml 37°C Не е уточнено
7 Ден
5073
Данни за стабилност на производителя

Поливинил хлорид Sodium chloride 0,9% ? mg/ml 4°C Не е уточнено
7 Ден
5073
Данни за стабилност на производителя

Поливинил хлорид Sodium chloride 0,9% 0,2 & 10 mg/ml 23°C Не е уточнено
90 Ден
4230
Степен на доказаност A

Поливинил хлорид Sodium chloride 0,9% 1 & 5 mg/ml 23°C Не е уточнено
42 Ден
120
Степен на доказаност C

Поливинил хлорид Sodium chloride 0,9% 1 & 5 mg/ml 4°C Защита от светлина
42 Ден
120
Степен на доказаност C

Поливинил хлорид Sodium chloride 0,9% 20 mg/ml 22°C Не е уточнено
7 Ден
4664
Степен на доказаност D

Поливинил хлорид Sodium chloride 0,9% 20 mg/ml 37°C Не е уточнено
7 Ден
4664
Степен на доказаност D

Поливинил хлорид Glucose 5% ? mg/ml 25°C Не е уточнено
7 Ден
5073
Данни за стабилност на производителя

Поливинил хлорид Glucose 5% ? mg/ml 37°C Не е уточнено
7 Ден
5073
Данни за стабилност на производителя

Поливинил хлорид Glucose 5% ? mg/ml 4°C Не е уточнено
7 Ден
5073
Данни за стабилност на производителя

Поливинил хлорид Glucose 5% 1 & 5 mg/ml 23°C Не е уточнено
42 Ден
120
Степен на доказаност C

Поливинил хлорид Glucose 5% 1 & 5 mg/ml 4°C Защита от светлина
42 Ден
120
Степен на доказаност C

Полиетилен Sodium chloride 0,9% ? mg/ml 25°C Не е уточнено
7 Ден
5073
Данни за стабилност на производителя

Полиетилен Sodium chloride 0,9% ? mg/ml 37°C Не е уточнено
7 Ден
5073
Данни за стабилност на производителя

Полиетилен Sodium chloride 0,9% ? mg/ml 4°C Не е уточнено
7 Ден
5073
Данни за стабилност на производителя

Полиетилен Glucose 5% ? mg/ml 25°C Не е уточнено
7 Ден
5073
Данни за стабилност на производителя

Полиетилен Glucose 5% ? mg/ml 37°C Не е уточнено
7 Ден
5073
Данни за стабилност на производителя

Полиетилен Glucose 5% ? mg/ml 4°C Не е уточнено
7 Ден
5073
Данни за стабилност на производителя

Полиолефин Sodium chloride 0,9% 0,2 & 10 mg/ml 23°C Не е уточнено
90 Ден
4230
Степен на доказаност A

Етилен винил ацетат Sodium chloride 0,9% ? mg/ml 25°C Не е уточнено
7 Ден
5073
Данни за стабилност на производителя

Етилен винил ацетат Sodium chloride 0,9% ? mg/ml 37°C Не е уточнено
7 Ден
5073
Данни за стабилност на производителя

Етилен винил ацетат Sodium chloride 0,9% ? mg/ml 4°C Не е уточнено
7 Ден
5073
Данни за стабилност на производителя

Етилен винил ацетат Glucose 5% ? mg/ml 25°C Не е уточнено
7 Ден
5073
Данни за стабилност на производителя

Етилен винил ацетат Glucose 5% ? mg/ml 37°C Не е уточнено
7 Ден
5073
Данни за стабилност на производителя

Етилен винил ацетат Glucose 5% ? mg/ml 4°C Не е уточнено
7 Ден
5073
Данни за стабилност на производителя

шприц полипропилен Sodium chloride 0,9% ? mg/ml 25°C Не е уточнено
7 Ден
5073
Данни за стабилност на производителя

шприц полипропилен Sodium chloride 0,9% ? mg/ml 37°C Не е уточнено
7 Ден
5073
Данни за стабилност на производителя

шприц полипропилен Sodium chloride 0,9% ? mg/ml 4°C Не е уточнено
7 Ден
5073
Данни за стабилност на производителя

шприц полипропилен Sodium chloride 0,9% 0,1 mg/ml 25°C Не е уточнено
100 Ден
4303
Степен на доказаност A

шприц полипропилен Sodium chloride 0,9% 0,1 mg/ml 30°C Не е уточнено
30 Ден
5
Степен на доказаност B

шприц полипропилен Sodium chloride 0,9% 1,5 & 80 mg/ml 23°C Светлина
60 Ден
1706
Степен на доказаност A+

шприц полипропилен Sodium chloride 0,9% 1,5 & 80 mg/ml 37°C Защита от светлина
48 Час
1706
Степен на доказаност A+

шприц полипропилен Sodium chloride 0,9% 1,5 & 80 mg/ml 4°C Защита от светлина
60 Ден
1706
Степен на доказаност A+

шприц полипропилен Glucose 5% ? mg/ml 25°C Не е уточнено
7 Ден
5073
Данни за стабилност на производителя

шприц полипропилен Glucose 5% ? mg/ml 37°C Не е уточнено
7 Ден
5073
Данни за стабилност на производителя

шприц полипропилен Glucose 5% ? mg/ml 4°C Не е уточнено
7 Ден
5073
Данни за стабилност на производителя

шприц полипропилен Няма 10 mg/ml 30°C Не е уточнено
30 Ден
5
Степен на доказаност B

Не е уточнено Sodium chloride 0,9% 0,2 mg/ml 20°C С или без светлина
112 Ден
2659
Степен на доказаност A

Не е уточнено Sodium chloride 0,9% 0,2 mg/ml 35°C Защита от светлина
112 Ден
2659
Степен на доказаност A

Не е уточнено Sodium chloride 0,9% 0,2 mg/ml 5°C Защита от светлина
112 Ден
2659
Степен на доказаност A

Не е уточнено Няма 10 mg/ml 37°C Защита от светлина
120 Ден
1867
Степен на доказаност D


  Mentions Légales