最新更新 :
27/04/2026
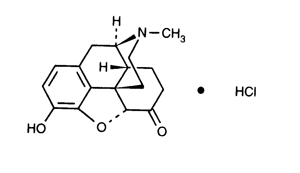
止痛药   Hydromorphone hydrochloride  
注射液
溶液稳定性 混合物稳定性 影响稳定性的因素 兼容性 用药途径 引用文献 PDF
   化学式  

商品名   商品名     

商品名仅供参考, 药品所用的辅料可能依国家或厂商不同有所不同。

Dilaudid 加拿大, 美国
Hydal 奥地利
Palladon 丹麦, 瑞士
Palladone 英国
溶液稳定性   注射液   溶液稳定性 : Hydromorphone hydrochloride     
容器 溶剂 浓度 温度 保存 穩定持續時間 引用文献
玻璃 不定 50 mg/ml 37°C 避光
90 白天
2305

聚氯乙烯 NaCl 0,9% ? mg/ml 25°C 无特殊要求
7 白天
5073
生产厂家提供的稳定性数据

聚氯乙烯 NaCl 0,9% ? mg/ml 37°C 无特殊要求
7 白天
5073
生产厂家提供的稳定性数据

聚氯乙烯 NaCl 0,9% ? mg/ml 4°C 无特殊要求
7 白天
5073
生产厂家提供的稳定性数据

聚氯乙烯 NaCl 0,9% 0,2 & 10 mg/ml 23°C 无特殊要求
90 白天
4230
A级

聚氯乙烯 NaCl 0,9% 1 & 5 mg/ml 23°C 无特殊要求
42 白天
120
C级

聚氯乙烯 NaCl 0,9% 1 & 5 mg/ml 4°C 避光
42 白天
120
C级

聚氯乙烯 NaCl 0,9% 20 mg/ml 22°C 无特殊要求
7 白天
4664
D级

聚氯乙烯 NaCl 0,9% 20 mg/ml 37°C 无特殊要求
7 白天
4664
D级

聚氯乙烯 葡萄糖5% ? mg/ml 25°C 无特殊要求
7 白天
5073
生产厂家提供的稳定性数据

聚氯乙烯 葡萄糖5% ? mg/ml 37°C 无特殊要求
7 白天
5073
生产厂家提供的稳定性数据

聚氯乙烯 葡萄糖5% ? mg/ml 4°C 无特殊要求
7 白天
5073
生产厂家提供的稳定性数据

聚氯乙烯 葡萄糖5% 1 & 5 mg/ml 23°C 无特殊要求
42 白天
120
C级

聚氯乙烯 葡萄糖5% 1 & 5 mg/ml 4°C 避光
42 白天
120
C级

聚乙烯 NaCl 0,9% ? mg/ml 25°C 无特殊要求
7 白天
5073
生产厂家提供的稳定性数据

聚乙烯 NaCl 0,9% ? mg/ml 37°C 无特殊要求
7 白天
5073
生产厂家提供的稳定性数据

聚乙烯 NaCl 0,9% ? mg/ml 4°C 无特殊要求
7 白天
5073
生产厂家提供的稳定性数据

聚乙烯 葡萄糖5% ? mg/ml 25°C 无特殊要求
7 白天
5073
生产厂家提供的稳定性数据

聚乙烯 葡萄糖5% ? mg/ml 37°C 无特殊要求
7 白天
5073
生产厂家提供的稳定性数据

聚乙烯 葡萄糖5% ? mg/ml 4°C 无特殊要求
7 白天
5073
生产厂家提供的稳定性数据

聚烯烃 NaCl 0,9% 0,2 & 10 mg/ml 23°C 无特殊要求
90 白天
4230
A级

乙烯乙酸乙烯酯 NaCl 0,9% ? mg/ml 25°C 无特殊要求
7 白天
5073
生产厂家提供的稳定性数据

乙烯乙酸乙烯酯 NaCl 0,9% ? mg/ml 37°C 无特殊要求
7 白天
5073
生产厂家提供的稳定性数据

乙烯乙酸乙烯酯 NaCl 0,9% ? mg/ml 4°C 无特殊要求
7 白天
5073
生产厂家提供的稳定性数据

乙烯乙酸乙烯酯 葡萄糖5% ? mg/ml 25°C 无特殊要求
7 白天
5073
生产厂家提供的稳定性数据

乙烯乙酸乙烯酯 葡萄糖5% ? mg/ml 37°C 无特殊要求
7 白天
5073
生产厂家提供的稳定性数据

乙烯乙酸乙烯酯 葡萄糖5% ? mg/ml 4°C 无特殊要求
7 白天
5073
生产厂家提供的稳定性数据

注射器  聚丙烯 NaCl 0,9% ? mg/ml 25°C 无特殊要求
7 白天
5073
生产厂家提供的稳定性数据

注射器  聚丙烯 NaCl 0,9% ? mg/ml 37°C 无特殊要求
7 白天
5073
生产厂家提供的稳定性数据

注射器  聚丙烯 NaCl 0,9% ? mg/ml 4°C 无特殊要求
7 白天
5073
生产厂家提供的稳定性数据

注射器  聚丙烯 NaCl 0,9% 0,1 mg/ml 25°C 无特殊要求
100 白天
4303
A级

注射器  聚丙烯 NaCl 0,9% 0,1 mg/ml 30°C 无特殊要求
30 白天
5
B级

注射器  聚丙烯 NaCl 0,9% 1,5 & 80 mg/ml 23°C 光
60 白天
1706
A+级

注射器  聚丙烯 NaCl 0,9% 1,5 & 80 mg/ml 37°C 避光
48 小时
1706
A+级

注射器  聚丙烯 NaCl 0,9% 1,5 & 80 mg/ml 4°C 避光
60 白天
1706
A+级

注射器  聚丙烯 葡萄糖5% ? mg/ml 25°C 无特殊要求
7 白天
5073
生产厂家提供的稳定性数据

注射器  聚丙烯 葡萄糖5% ? mg/ml 37°C 无特殊要求
7 白天
5073
生产厂家提供的稳定性数据

注射器  聚丙烯 葡萄糖5% ? mg/ml 4°C 无特殊要求
7 白天
5073
生产厂家提供的稳定性数据

注射器  聚丙烯 无 10 mg/ml 30°C 无特殊要求
30 白天
5
B级

不详 NaCl 0,9% 0,2 mg/ml 20°C 光/避光
112 白天
2659
A级

不详 NaCl 0,9% 0,2 mg/ml 35°C 避光
112 白天
2659
A级

不详 NaCl 0,9% 0,2 mg/ml 5°C 避光
112 白天
2659
A级

不详 无 10 mg/ml 37°C 避光
120 白天
1867
D级


  Mentions Légales