Laatste update :
27/04/2026
Analgeticum   Hydromorphone hydrochloride  
injecteerbaar geneesmiddel
Stabiliteit in oplossing Stabiliteit in mengsels Factoren die de stabiliteit beïnvloeden Verenigbaarheden Toedieningswijze Literatuur pdf
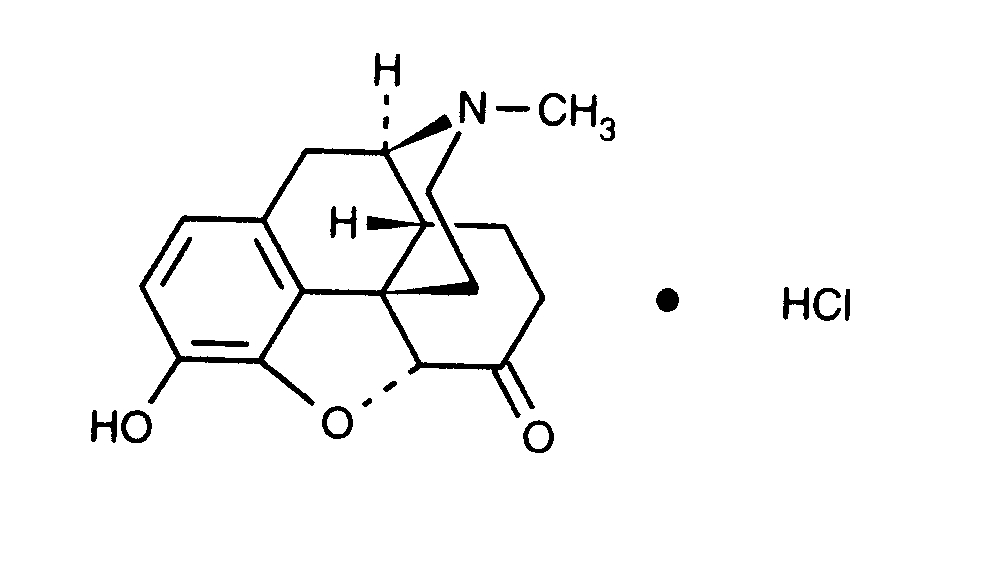
   Molecuulstructuur  

Merknamen in verschillende landen   Merknamen in verschillende landen     

Handelsnamen zijn slechts een indicatie; de samenstelling van hulpstoffen kan per land variëren afhankelijk van de fabrikant

Dilaudid Canada, USA
Hydal Oostenrijk
Palladon Denemarken, Zwitserland
Palladone Groot Britannië
Stabiliteit in oplossing   injecteerbaar geneesmiddel   Stabiliteit in oplossing : Hydromorphone hydrochloride     
Verpakking Oplosmiddel Concentratie Temperatuur Bewaring Duur van de stabiliteit Literatuur
Glas Niet gespecificeerd 50 mg/ml 37°C Buiten invloed van licht
90 Dag
2305

Polyvinylchloride (PVC) Natriumchloride 0,9% ? mg/ml 25°C Niet gespecificeerd
7 Dag
5073
Stabiliteitsgegevens van de fabrikant

Polyvinylchloride (PVC) Natriumchloride 0,9% ? mg/ml 37°C Niet gespecificeerd
7 Dag
5073
Stabiliteitsgegevens van de fabrikant

Polyvinylchloride (PVC) Natriumchloride 0,9% ? mg/ml 4°C Niet gespecificeerd
7 Dag
5073
Stabiliteitsgegevens van de fabrikant

Polyvinylchloride (PVC) Natriumchloride 0,9% 0,2 & 10 mg/ml 23°C Niet gespecificeerd
90 Dag
4230
Bewijsniveau A

Polyvinylchloride (PVC) Natriumchloride 0,9% 1 & 5 mg/ml 23°C Niet gespecificeerd
42 Dag
120
Bewijsniveau C

Polyvinylchloride (PVC) Natriumchloride 0,9% 1 & 5 mg/ml 4°C Buiten invloed van licht
42 Dag
120
Bewijsniveau C

Polyvinylchloride (PVC) Natriumchloride 0,9% 20 mg/ml 22°C Niet gespecificeerd
7 Dag
4664
Bewijsniveau D

Polyvinylchloride (PVC) Natriumchloride 0,9% 20 mg/ml 37°C Niet gespecificeerd
7 Dag
4664
Bewijsniveau D

Polyvinylchloride (PVC) Glucose 5% ? mg/ml 25°C Niet gespecificeerd
7 Dag
5073
Stabiliteitsgegevens van de fabrikant

Polyvinylchloride (PVC) Glucose 5% ? mg/ml 37°C Niet gespecificeerd
7 Dag
5073
Stabiliteitsgegevens van de fabrikant

Polyvinylchloride (PVC) Glucose 5% ? mg/ml 4°C Niet gespecificeerd
7 Dag
5073
Stabiliteitsgegevens van de fabrikant

Polyvinylchloride (PVC) Glucose 5% 1 & 5 mg/ml 23°C Niet gespecificeerd
42 Dag
120
Bewijsniveau C

Polyvinylchloride (PVC) Glucose 5% 1 & 5 mg/ml 4°C Buiten invloed van licht
42 Dag
120
Bewijsniveau C

Polyethyleen (PE) Natriumchloride 0,9% ? mg/ml 25°C Niet gespecificeerd
7 Dag
5073
Stabiliteitsgegevens van de fabrikant

Polyethyleen (PE) Natriumchloride 0,9% ? mg/ml 37°C Niet gespecificeerd
7 Dag
5073
Stabiliteitsgegevens van de fabrikant

Polyethyleen (PE) Natriumchloride 0,9% ? mg/ml 4°C Niet gespecificeerd
7 Dag
5073
Stabiliteitsgegevens van de fabrikant

Polyethyleen (PE) Glucose 5% ? mg/ml 25°C Niet gespecificeerd
7 Dag
5073
Stabiliteitsgegevens van de fabrikant

Polyethyleen (PE) Glucose 5% ? mg/ml 37°C Niet gespecificeerd
7 Dag
5073
Stabiliteitsgegevens van de fabrikant

Polyethyleen (PE) Glucose 5% ? mg/ml 4°C Niet gespecificeerd
7 Dag
5073
Stabiliteitsgegevens van de fabrikant

Polyolefine Natriumchloride 0,9% 0,2 & 10 mg/ml 23°C Niet gespecificeerd
90 Dag
4230
Bewijsniveau A

Ethyleenvinylacetaat (EVA) Natriumchloride 0,9% ? mg/ml 25°C Niet gespecificeerd
7 Dag
5073
Stabiliteitsgegevens van de fabrikant

Ethyleenvinylacetaat (EVA) Natriumchloride 0,9% ? mg/ml 37°C Niet gespecificeerd
7 Dag
5073
Stabiliteitsgegevens van de fabrikant

Ethyleenvinylacetaat (EVA) Natriumchloride 0,9% ? mg/ml 4°C Niet gespecificeerd
7 Dag
5073
Stabiliteitsgegevens van de fabrikant

Ethyleenvinylacetaat (EVA) Glucose 5% ? mg/ml 25°C Niet gespecificeerd
7 Dag
5073
Stabiliteitsgegevens van de fabrikant

Ethyleenvinylacetaat (EVA) Glucose 5% ? mg/ml 37°C Niet gespecificeerd
7 Dag
5073
Stabiliteitsgegevens van de fabrikant

Ethyleenvinylacetaat (EVA) Glucose 5% ? mg/ml 4°C Niet gespecificeerd
7 Dag
5073
Stabiliteitsgegevens van de fabrikant

injectiespuit polypropyleen Natriumchloride 0,9% ? mg/ml 25°C Niet gespecificeerd
7 Dag
5073
Stabiliteitsgegevens van de fabrikant

injectiespuit polypropyleen Natriumchloride 0,9% ? mg/ml 37°C Niet gespecificeerd
7 Dag
5073
Stabiliteitsgegevens van de fabrikant

injectiespuit polypropyleen Natriumchloride 0,9% ? mg/ml 4°C Niet gespecificeerd
7 Dag
5073
Stabiliteitsgegevens van de fabrikant

injectiespuit polypropyleen Natriumchloride 0,9% 0,1 mg/ml 25°C Niet gespecificeerd
100 Dag
4303
Bewijsniveau A

injectiespuit polypropyleen Natriumchloride 0,9% 0,1 mg/ml 30°C Niet gespecificeerd
30 Dag
5
Bewijsniveau B

injectiespuit polypropyleen Natriumchloride 0,9% 1,5 & 80 mg/ml 23°C Licht
60 Dag
1706
Bewijsniveau A+

injectiespuit polypropyleen Natriumchloride 0,9% 1,5 & 80 mg/ml 37°C Buiten invloed van licht
48 Uur
1706
Bewijsniveau A+

injectiespuit polypropyleen Natriumchloride 0,9% 1,5 & 80 mg/ml 4°C Buiten invloed van licht
60 Dag
1706
Bewijsniveau A+

injectiespuit polypropyleen Glucose 5% ? mg/ml 25°C Niet gespecificeerd
7 Dag
5073
Stabiliteitsgegevens van de fabrikant

injectiespuit polypropyleen Glucose 5% ? mg/ml 37°C Niet gespecificeerd
7 Dag
5073
Stabiliteitsgegevens van de fabrikant

injectiespuit polypropyleen Glucose 5% ? mg/ml 4°C Niet gespecificeerd
7 Dag
5073
Stabiliteitsgegevens van de fabrikant

injectiespuit polypropyleen Geen 10 mg/ml 30°C Niet gespecificeerd
30 Dag
5
Bewijsniveau B

Niet gespecificeerd Natriumchloride 0,9% 0,2 mg/ml 20°C Met of zonder licht
112 Dag
2659
Bewijsniveau A

Niet gespecificeerd Natriumchloride 0,9% 0,2 mg/ml 35°C Buiten invloed van licht
112 Dag
2659
Bewijsniveau A

Niet gespecificeerd Natriumchloride 0,9% 0,2 mg/ml 5°C Buiten invloed van licht
112 Dag
2659
Bewijsniveau A

Niet gespecificeerd Geen 10 mg/ml 37°C Buiten invloed van licht
120 Dag
1867
Bewijsniveau D


  Mentions Légales