Ostatnia aktualizacja :
27/04/2026
Przeciwbólowy   Hydromorphone hydrochloride  
Injekcje
Trwałość roztworów Trwałość w mieszaninie Czynnik wpływający na trwałość Zgodność Sposób podania Bibliografia pdf
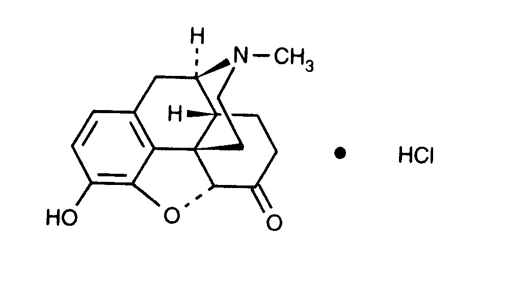
   Struktura chemiczna  

Nazwa handlowa   Nazwa handlowa     

Trade names are indicative and excipients composition can be different depending on the country and manufacturers

Dilaudid Kanada, Stany Zjednoczone Ameryki
Hydal Austria
Palladon Dania, Szwajcaria
Palladone Wielka Brytania
Trwałość roztworów   Injekcje   Trwałość roztworów : Hydromorphone hydrochloride     
Pojemnik Rozpuszczalnik Stężenie Temperatura Przechowywanie Czas trwania stabilności Bibliografia
Szkło Brak informacji 50 mg/ml 37°C Chronić od światła
90 Dzień
2305

Polichlorek winylu Chlorek sodu 0,9% ? mg/ml 25°C Nie wyszczególniony
7 Dzień
5073
Dane stabilności producenta

Polichlorek winylu Chlorek sodu 0,9% ? mg/ml 37°C Nie wyszczególniony
7 Dzień
5073
Dane stabilności producenta

Polichlorek winylu Chlorek sodu 0,9% ? mg/ml 4°C Nie wyszczególniony
7 Dzień
5073
Dane stabilności producenta

Polichlorek winylu Chlorek sodu 0,9% 0,2 & 10 mg/ml 23°C Nie wyszczególniony
90 Dzień
4230
Poziom wiarygodności A

Polichlorek winylu Chlorek sodu 0,9% 1 & 5 mg/ml 23°C Nie wyszczególniony
42 Dzień
120
Poziom wiarygodności C

Polichlorek winylu Chlorek sodu 0,9% 1 & 5 mg/ml 4°C Chronić od światła
42 Dzień
120
Poziom wiarygodności C

Polichlorek winylu Chlorek sodu 0,9% 20 mg/ml 22°C Nie wyszczególniony
7 Dzień
4664
Poziom wiarygodności D

Polichlorek winylu Chlorek sodu 0,9% 20 mg/ml 37°C Nie wyszczególniony
7 Dzień
4664
Poziom wiarygodności D

Polichlorek winylu Glukoza 5% ? mg/ml 25°C Nie wyszczególniony
7 Dzień
5073
Dane stabilności producenta

Polichlorek winylu Glukoza 5% ? mg/ml 37°C Nie wyszczególniony
7 Dzień
5073
Dane stabilności producenta

Polichlorek winylu Glukoza 5% ? mg/ml 4°C Nie wyszczególniony
7 Dzień
5073
Dane stabilności producenta

Polichlorek winylu Glukoza 5% 1 & 5 mg/ml 23°C Nie wyszczególniony
42 Dzień
120
Poziom wiarygodności C

Polichlorek winylu Glukoza 5% 1 & 5 mg/ml 4°C Chronić od światła
42 Dzień
120
Poziom wiarygodności C

Polietylen Chlorek sodu 0,9% ? mg/ml 25°C Nie wyszczególniony
7 Dzień
5073
Dane stabilności producenta

Polietylen Chlorek sodu 0,9% ? mg/ml 37°C Nie wyszczególniony
7 Dzień
5073
Dane stabilności producenta

Polietylen Chlorek sodu 0,9% ? mg/ml 4°C Nie wyszczególniony
7 Dzień
5073
Dane stabilności producenta

Polietylen Glukoza 5% ? mg/ml 25°C Nie wyszczególniony
7 Dzień
5073
Dane stabilności producenta

Polietylen Glukoza 5% ? mg/ml 37°C Nie wyszczególniony
7 Dzień
5073
Dane stabilności producenta

Polietylen Glukoza 5% ? mg/ml 4°C Nie wyszczególniony
7 Dzień
5073
Dane stabilności producenta

Poliolefina Chlorek sodu 0,9% 0,2 & 10 mg/ml 23°C Nie wyszczególniony
90 Dzień
4230
Poziom wiarygodności A

Etylen/octan winylu Chlorek sodu 0,9% ? mg/ml 25°C Nie wyszczególniony
7 Dzień
5073
Dane stabilności producenta

Etylen/octan winylu Chlorek sodu 0,9% ? mg/ml 37°C Nie wyszczególniony
7 Dzień
5073
Dane stabilności producenta

Etylen/octan winylu Chlorek sodu 0,9% ? mg/ml 4°C Nie wyszczególniony
7 Dzień
5073
Dane stabilności producenta

Etylen/octan winylu Glukoza 5% ? mg/ml 25°C Nie wyszczególniony
7 Dzień
5073
Dane stabilności producenta

Etylen/octan winylu Glukoza 5% ? mg/ml 37°C Nie wyszczególniony
7 Dzień
5073
Dane stabilności producenta

Etylen/octan winylu Glukoza 5% ? mg/ml 4°C Nie wyszczególniony
7 Dzień
5073
Dane stabilności producenta

Strzykawka Chlorek sodu 0,9% ? mg/ml 25°C Nie wyszczególniony
7 Dzień
5073
Dane stabilności producenta

Strzykawka Chlorek sodu 0,9% ? mg/ml 37°C Nie wyszczególniony
7 Dzień
5073
Dane stabilności producenta

Strzykawka Chlorek sodu 0,9% ? mg/ml 4°C Nie wyszczególniony
7 Dzień
5073
Dane stabilności producenta

Strzykawka Chlorek sodu 0,9% 0,1 mg/ml 25°C Nie wyszczególniony
100 Dzień
4303
Poziom wiarygodności A

Strzykawka Chlorek sodu 0,9% 0,1 mg/ml 30°C Nie wyszczególniony
30 Dzień
5
Poziom wiarygodności B

Strzykawka Chlorek sodu 0,9% 1,5 & 80 mg/ml 23°C światło
60 Dzień
1706
Poziom wiarygodności A+

Strzykawka Chlorek sodu 0,9% 1,5 & 80 mg/ml 37°C Chronić od światła
48 Godzina
1706
Poziom wiarygodności A+

Strzykawka Chlorek sodu 0,9% 1,5 & 80 mg/ml 4°C Chronić od światła
60 Dzień
1706
Poziom wiarygodności A+

Strzykawka Glukoza 5% ? mg/ml 25°C Nie wyszczególniony
7 Dzień
5073
Dane stabilności producenta

Strzykawka Glukoza 5% ? mg/ml 37°C Nie wyszczególniony
7 Dzień
5073
Dane stabilności producenta

Strzykawka Glukoza 5% ? mg/ml 4°C Nie wyszczególniony
7 Dzień
5073
Dane stabilności producenta

Strzykawka Żaden 10 mg/ml 30°C Nie wyszczególniony
30 Dzień
5
Poziom wiarygodności B

Brak informacji Chlorek sodu 0,9% 0,2 mg/ml 20°C Przy świetle lub w ciemności
112 Dzień
2659
Poziom wiarygodności A

Brak informacji Chlorek sodu 0,9% 0,2 mg/ml 35°C Chronić od światła
112 Dzień
2659
Poziom wiarygodności A

Brak informacji Chlorek sodu 0,9% 0,2 mg/ml 5°C Chronić od światła
112 Dzień
2659
Poziom wiarygodności A

Brak informacji Żaden 10 mg/ml 37°C Chronić od światła
120 Dzień
1867
Poziom wiarygodności D


  Mentions Légales