Останнє оновлення :
27/11/2025
Антикоагулянти   Bivalirudin  
ін'єкція
Стійкість в розчинах Стійкість сумішей Фактори, що впливають на стабільність Сумісність Шлях введення Список літератури pdf
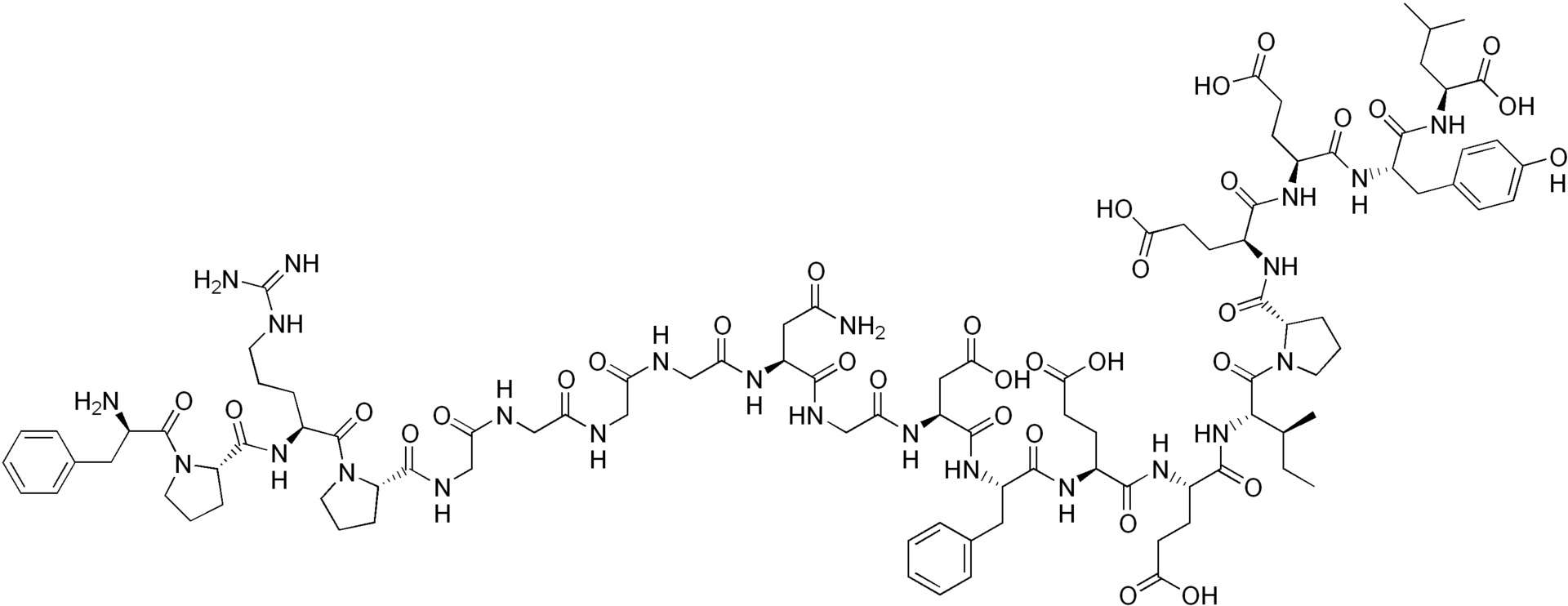
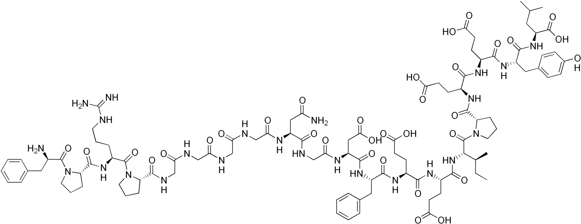
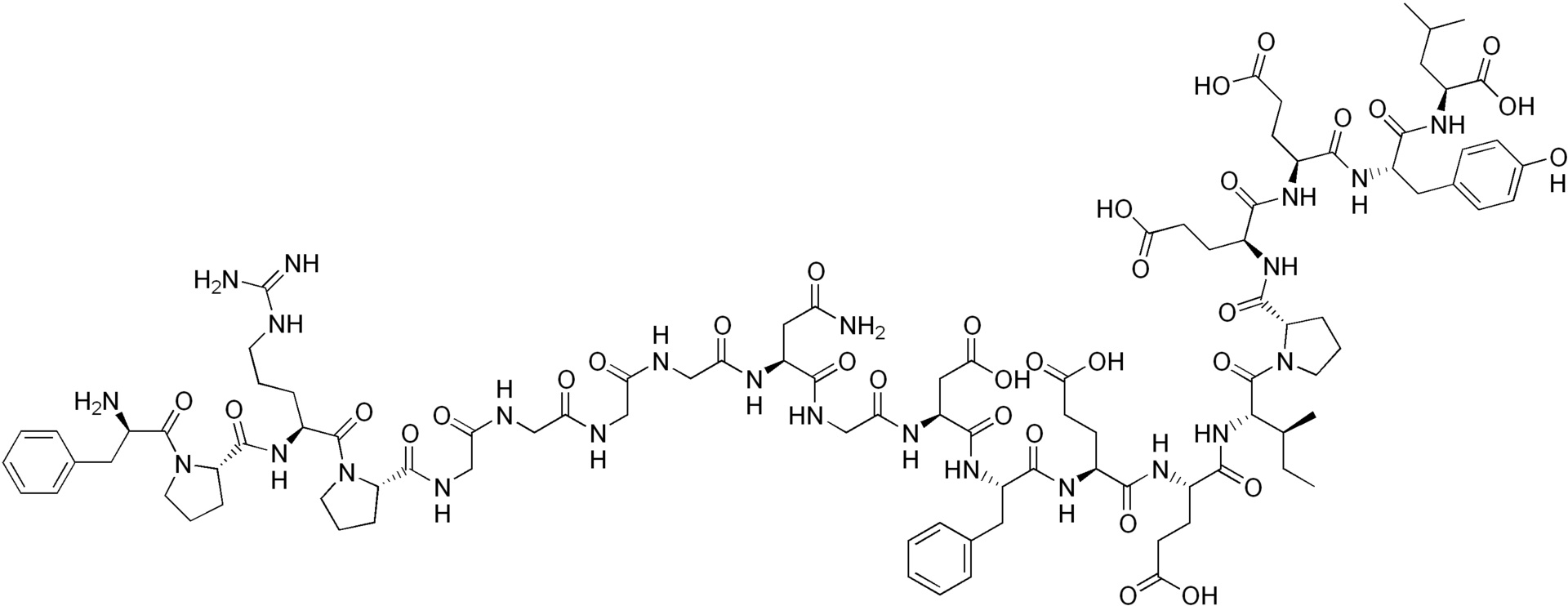
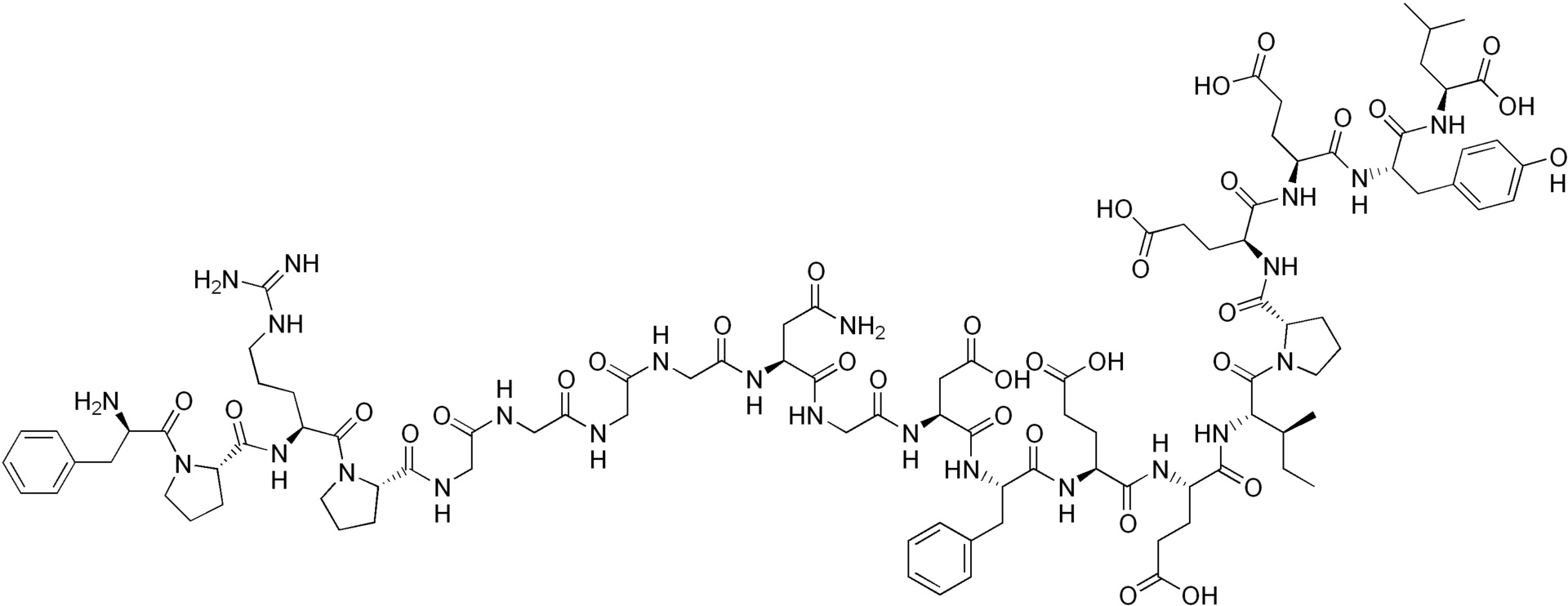
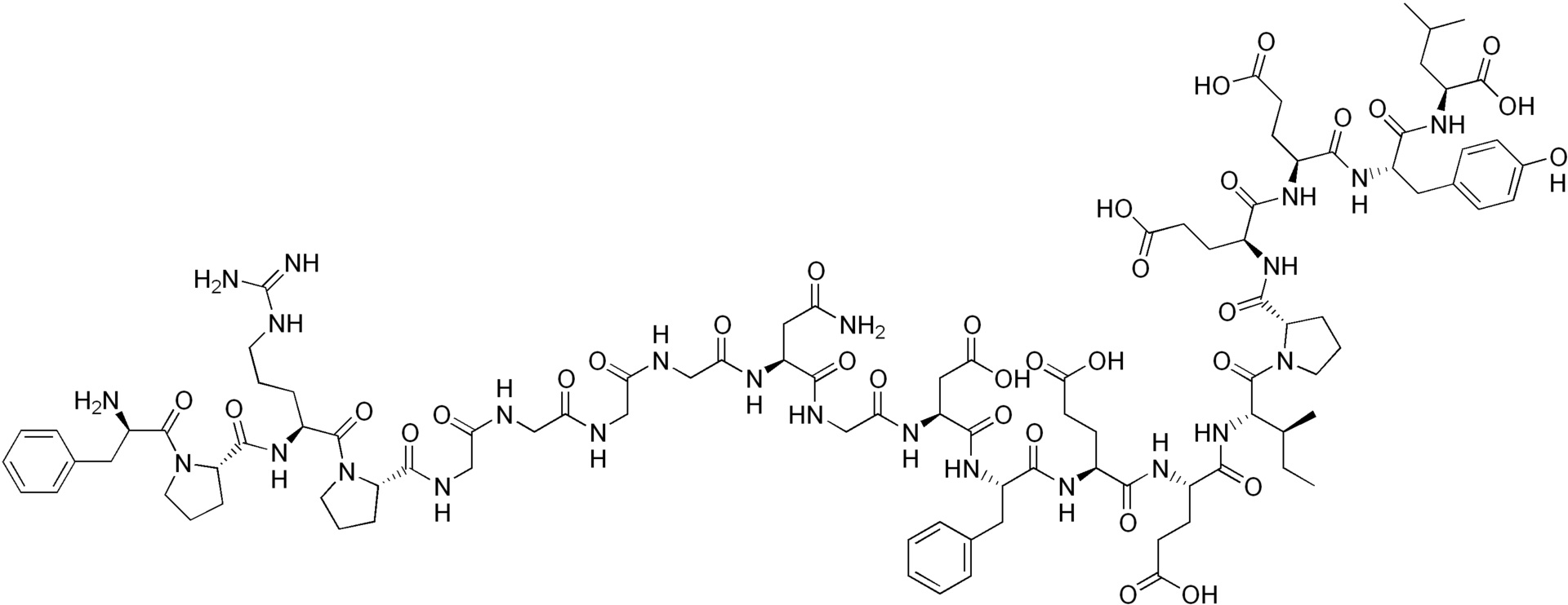
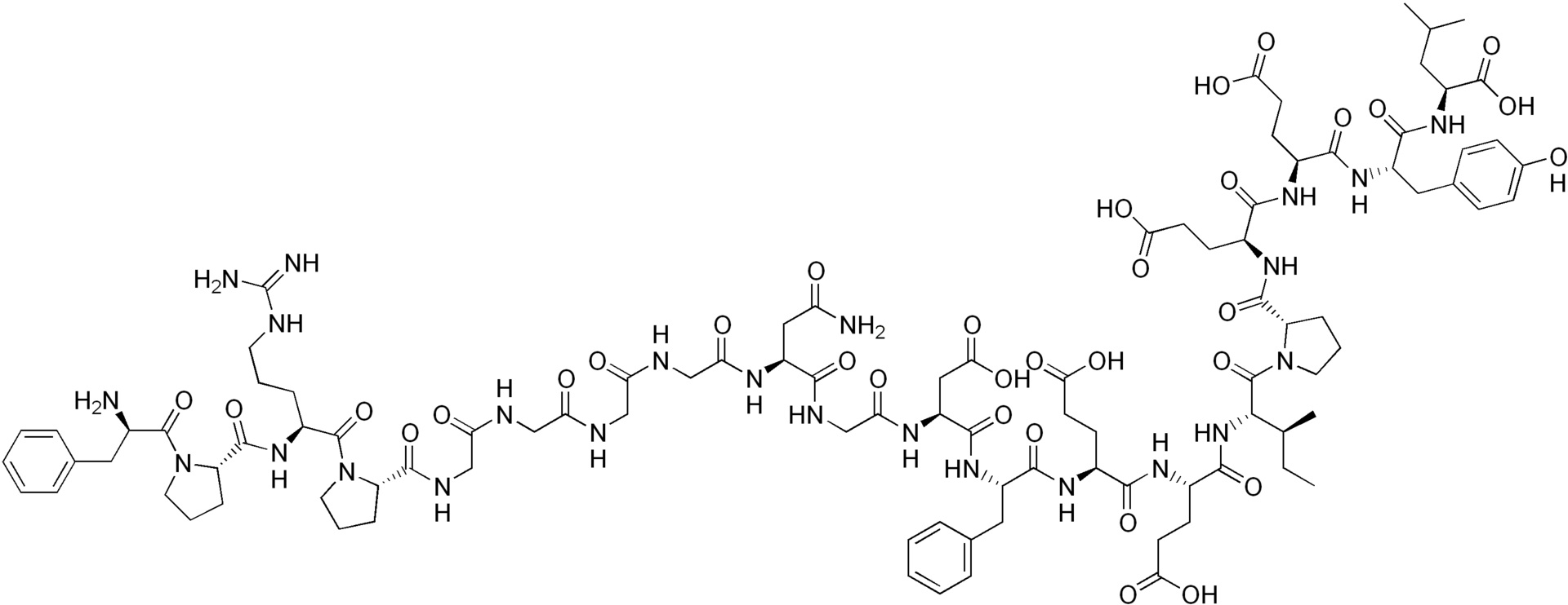
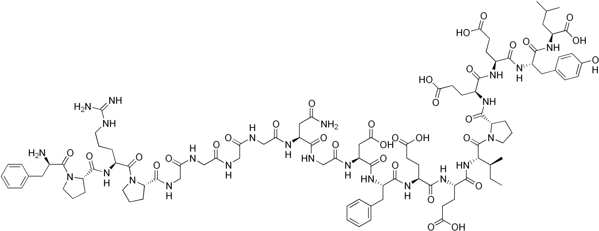
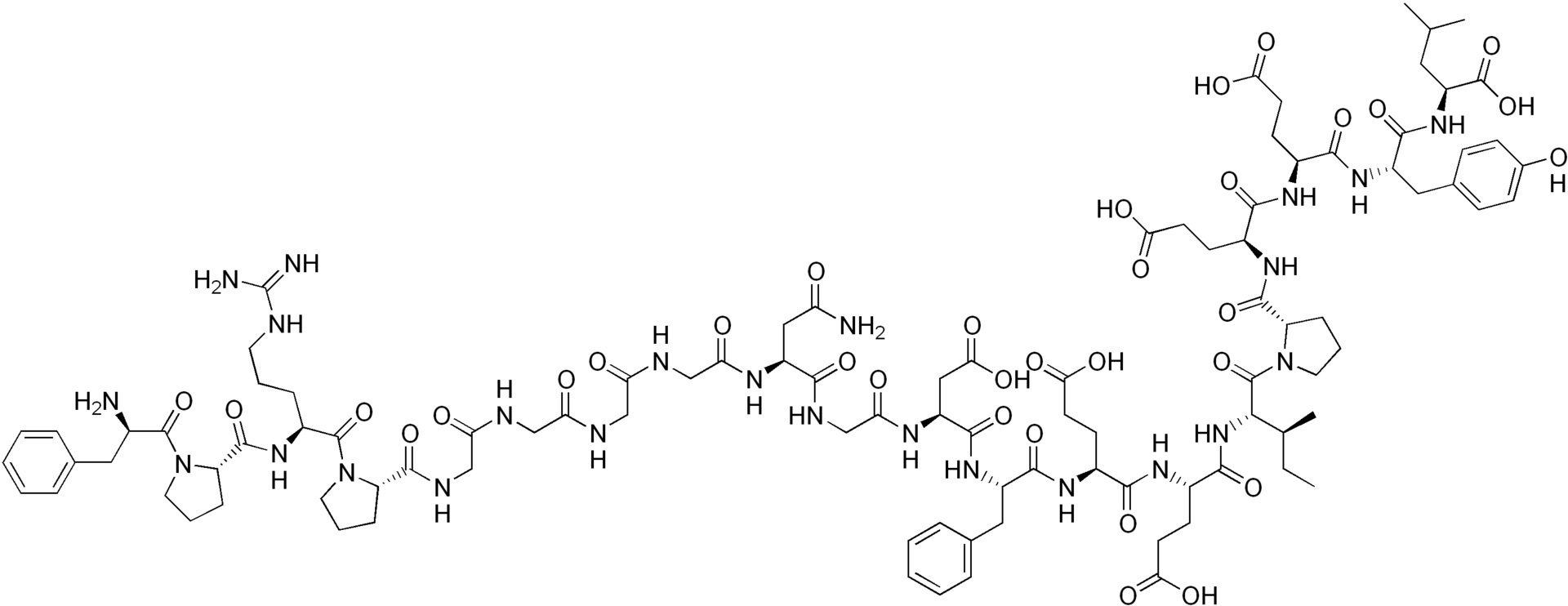
   Хімічна структура  

Торгова назва   Торгова назва     

Торгові назви є орієнтовними, а склад допоміжних речовин може бути різним залежно від країни та виробника

Amuprux Аргентина
Angiomax Австралія, Венесуела, Канада, Нова Зеландія, Перу, Сполучені Штати Америки, Чилі
Angiox Ісландія, Іспанія, Італія, Австрія, Великобританія, Греція, Данія, Нідерланди, Норвегія, Польща, Румунія, Словенія, Сполучені Штати Америки, Угорщина, Фінляндія
Bivalirudin Бельгія, Великобританія, Данія, Німеччина, Словенія, Фінляндія, Швеція
Bivalirudina Іспанія, Італія
Стійкість в розчинах   ін'єкція   Стійкість в розчинах : Bivalirudin     
Контейнер Розчинник Концентрація температура Зберігання Тривалість стабільності Список літератури
скло Вода для ін'єкцій 50 mg/ml 2-8°C Не визначено
24 годину
3539
Дані виробника про стабільність

Не визначено Натрію хлорид 0,9% 5 mg/ml 25°C Не визначено
24 годину
3539
Дані виробника про стабільність

Не визначено Глюкоза 5% 5 mg/ml 25°C Не визначено
24 годину
3539
Дані виробника про стабільність


  Mentions Légales