Poslední aktualizace :
27/11/2025
Antikoaguliantas   Bivalirudin  
Įpurškimas
Tirpalų stabilumas Mišinių stabilumas Stabilumą lemiantys veiksniai Suderinamumas Leidimo būdai Bibliografija pdf
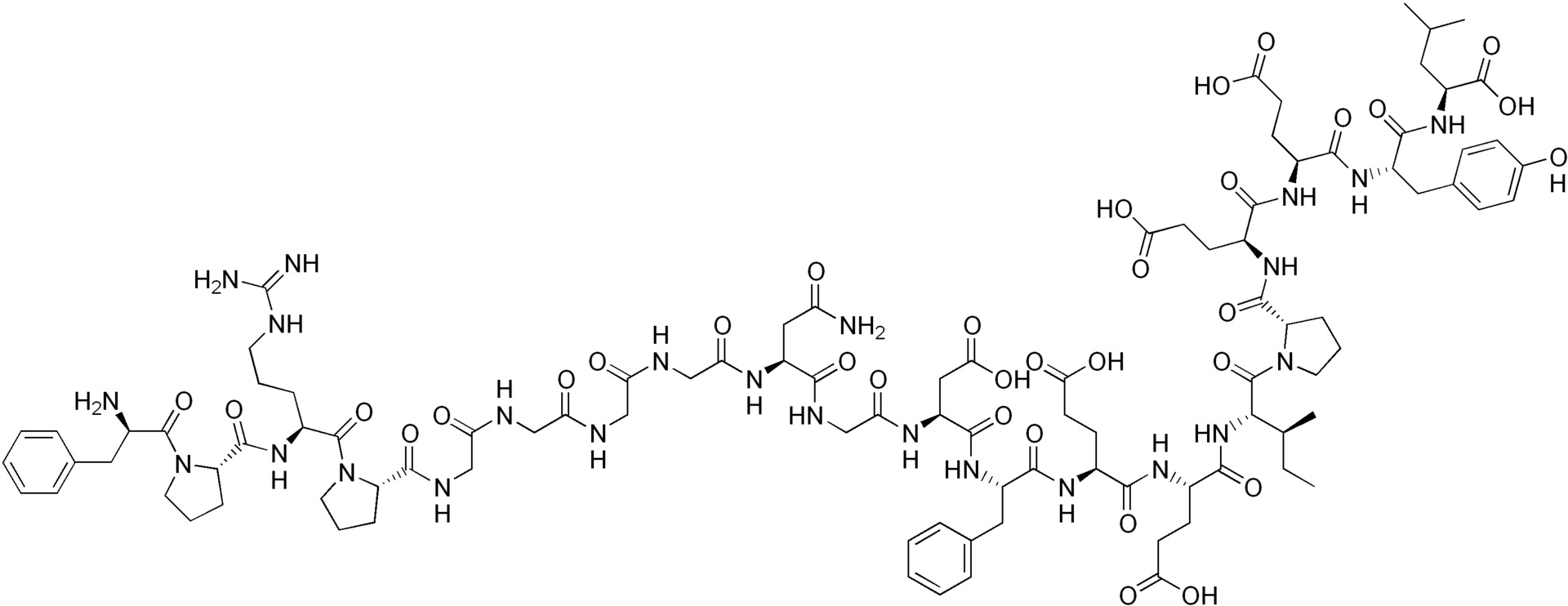
   Cheminė sandara  

Prekinis pavadinimas   Prekinis pavadinimas     

Trade names are indicative and excipients composition can be different depending on the country and manufacturers

Amuprux Argentina
Angiomax Australija, Čilė, Jungtinės Amerikos Valstijos, Kanada, Naujojoje Zelandijoje, Peru, Venesuela
Angiox Austrija, Danija, Didžioji Britanija, Graikija, Islandija, Ispanija, Italija, Jungtinės Amerikos Valstijos, Lenkija, Norvegija, Olandija, Rumunija, Slovėnija, Suomija, Vengrija
Bivalirudin Belgija, Danija, Didžioji Britanija, Slovėnija, Suomija, Švedija, Vokietija
Bivalirudina Ispanija, Italija
Tirpalų stabilumas   Įpurškimas   Tirpalų stabilumas : Bivalirudin     
Pakuotė Tirpiklis Koncentracija Temperatūra Laikymas Stabilumo trukmė Nuorodos
Stiklas Vanduo injekcijoms 50 mg/ml 2-8°C Nenurodyta
24 Valanda
3539
Gamintojo stabilumo duomenys

Nenurodyta Natrio chloridas 0,9% 5 mg/ml 25°C Nenurodyta
24 Valanda
3539
Gamintojo stabilumo duomenys

Nenurodyta Gliukozė 5% 5 mg/ml 25°C Nenurodyta
24 Valanda
3539
Gamintojo stabilumo duomenys


  Mentions Légales