Последнее обновление :
18/03/2026
Антикоагулянт   Bivalirudin  
Инъекция
Стабильность растворов Стабильность смесей Факторы, которые влияют на стабильность Совместимость Способы введения Библиография pdf
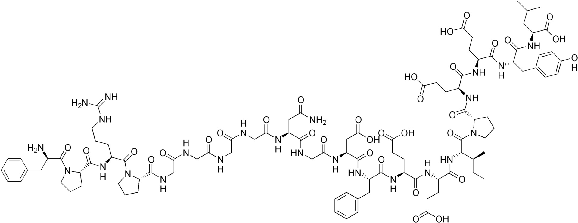
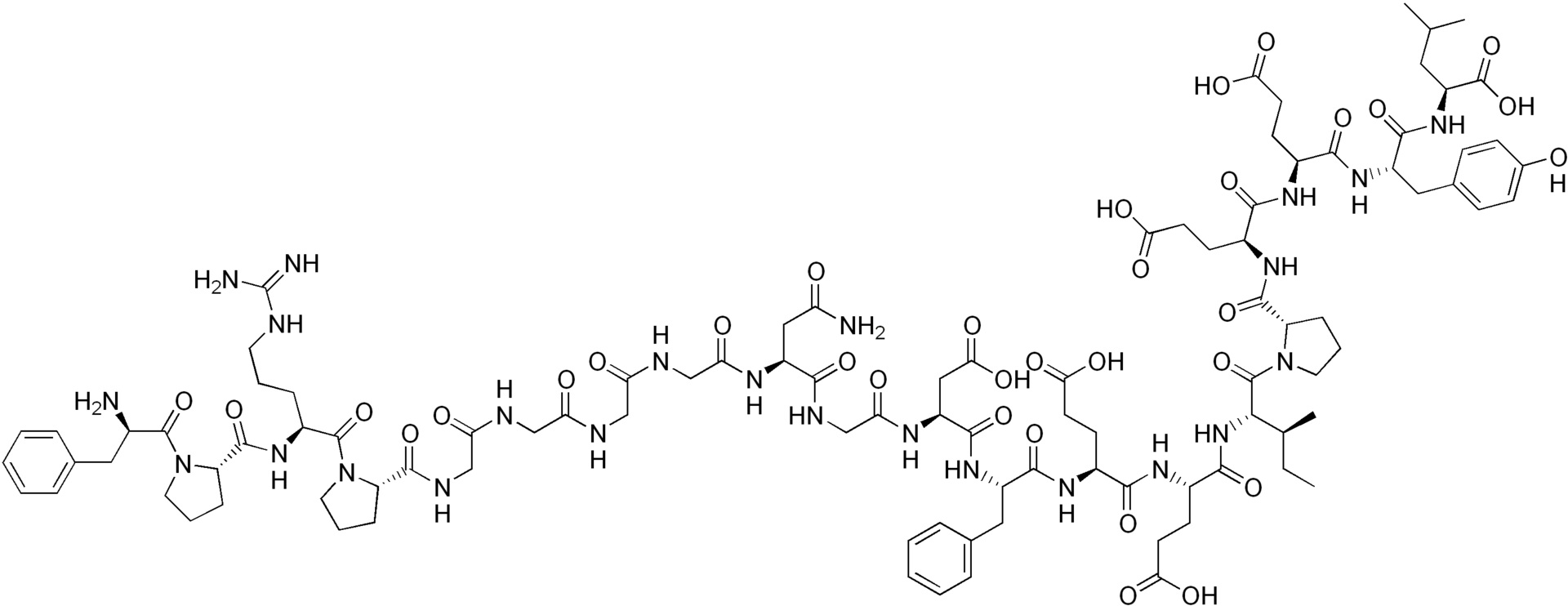
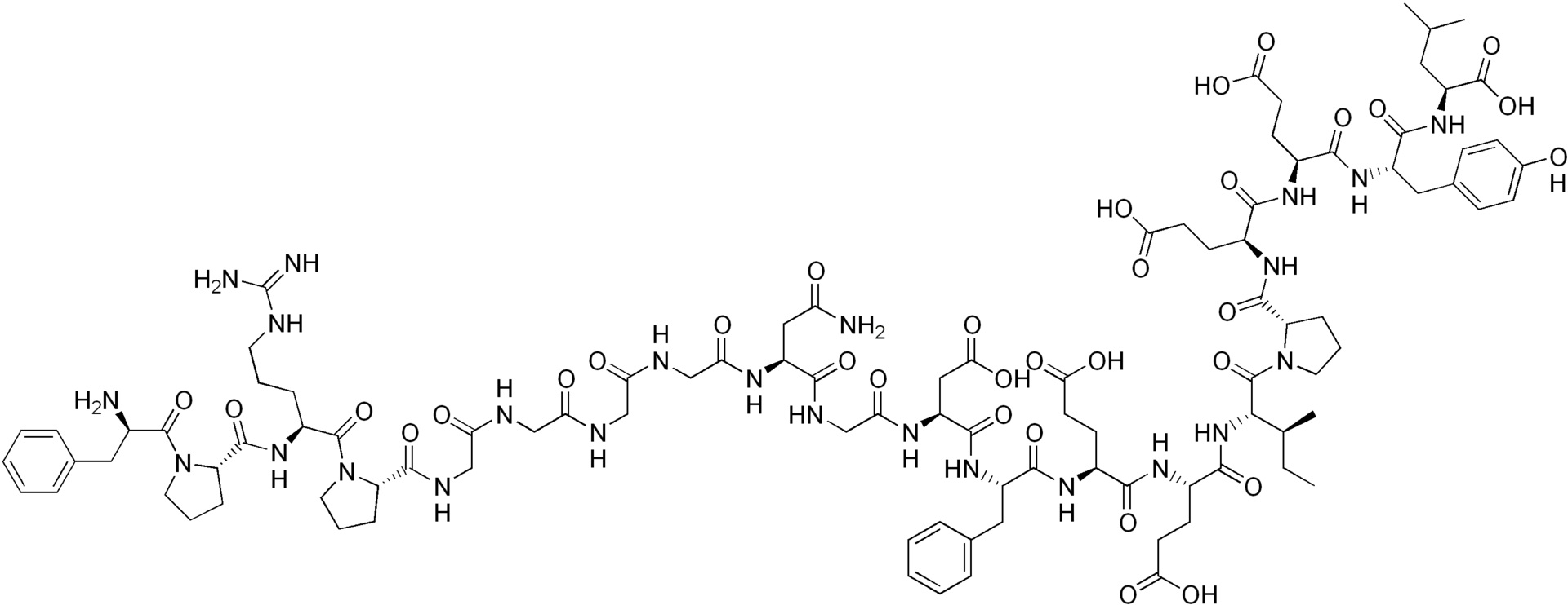
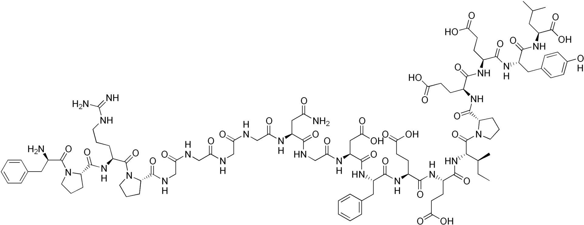
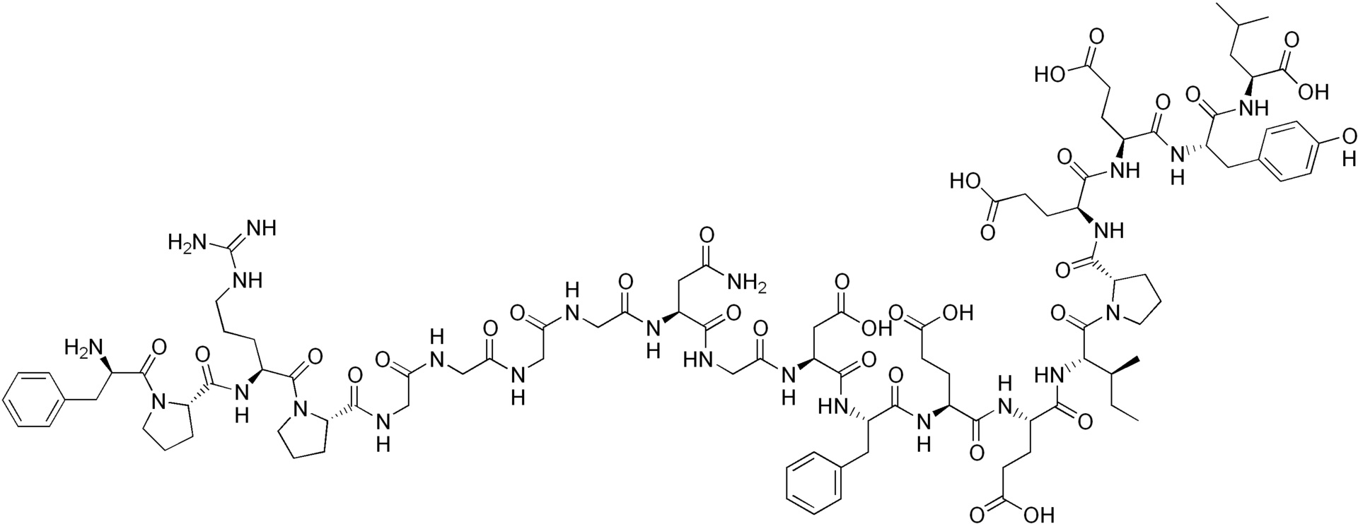
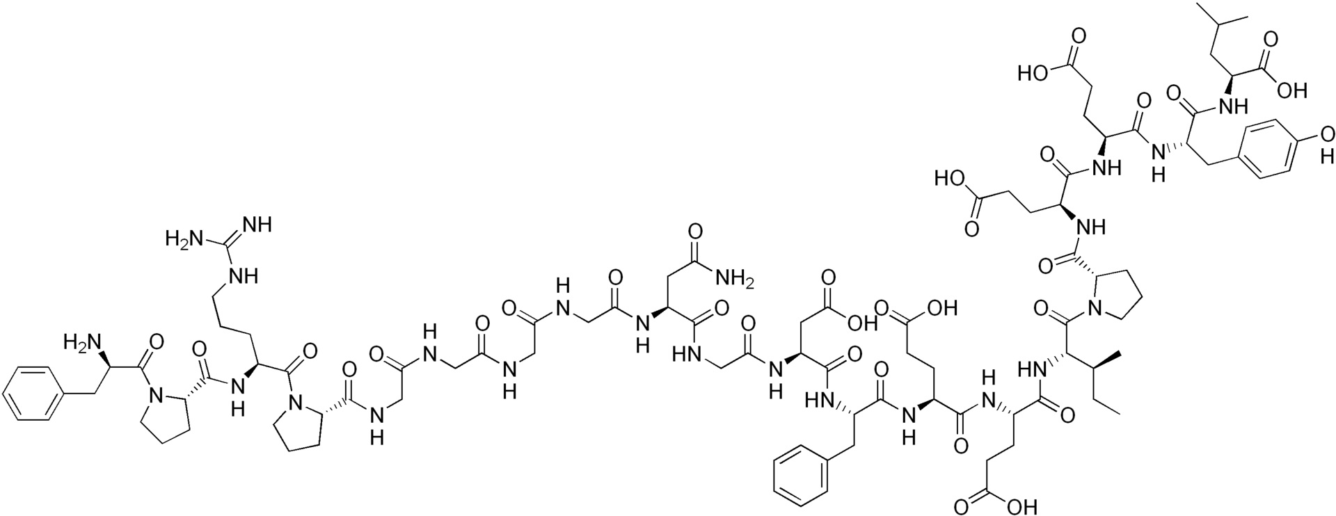
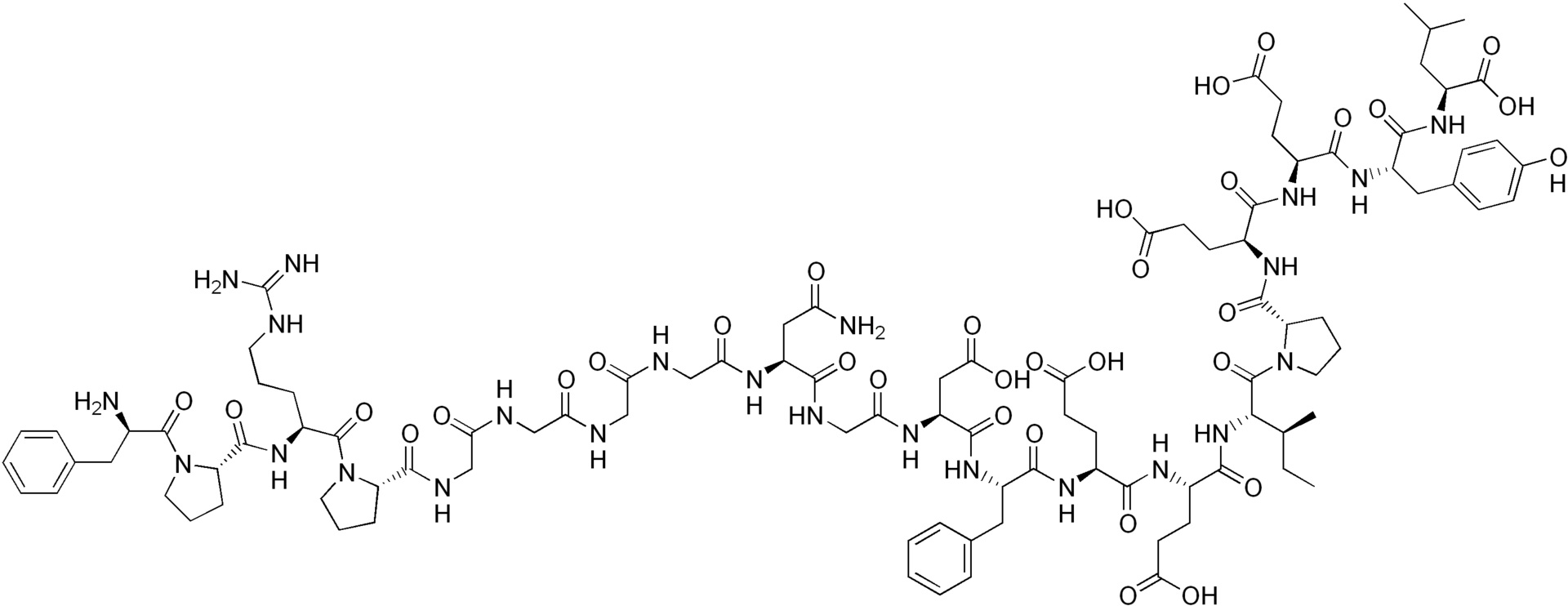
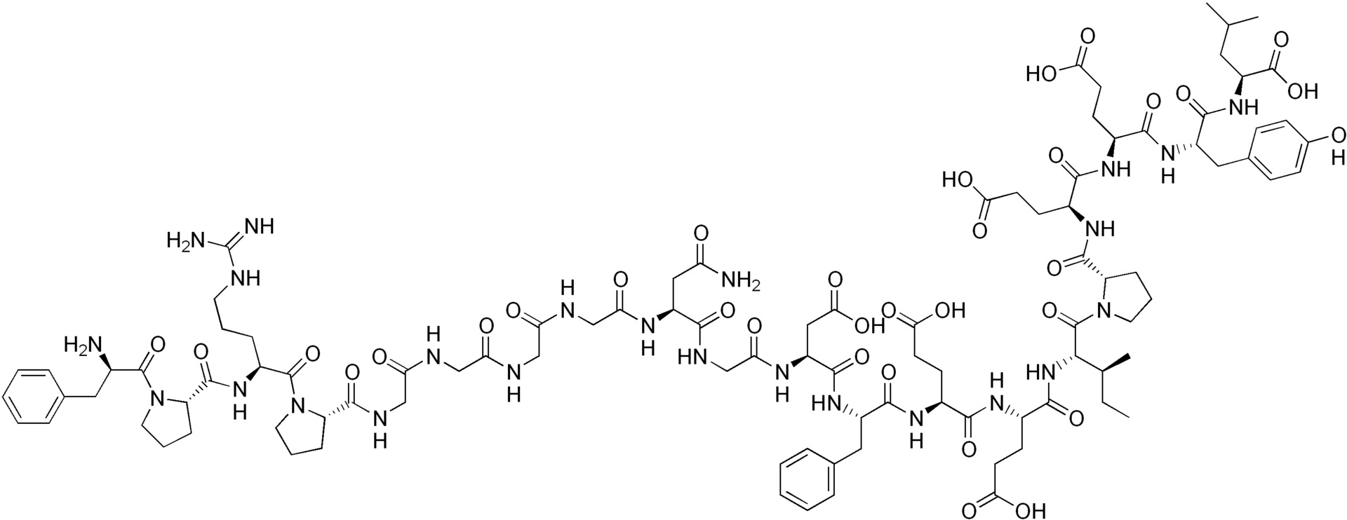
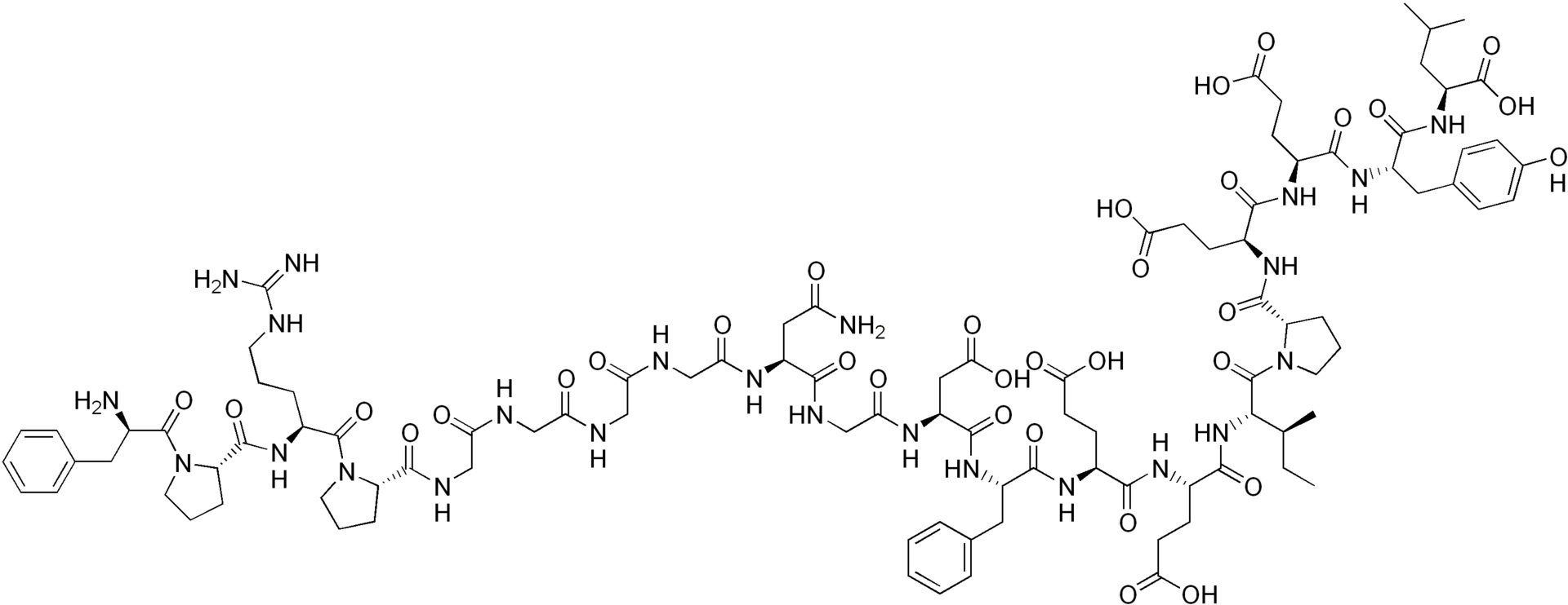
   Химическая структура  

Товарное название   Товарное название     

Trade names are indicative and excipients composition can be different depending on the country and manufacturers

Amuprux Аргентина
Angiomax Австралия, Венесуэла, Канада, новая Зеландия, Перу, Соединённые Штаты Америки, чили
Angiox Австрия, Великобритания, Венгрия, Голландия, Греция, Дания, Исландия, Испания, Италия, Норвегия, Польша, Румыния, Словения, Соединённые Штаты Америки, Финляндия
Bivalirudin Бельгия, Великобритания, Германия, Дания, Словения, Финляндия, Швеция
Bivalirudina Испания, Италия
Стабильность растворов   Инъекция   Стабильность растворов : Bivalirudin     
Упаковка Растворитель Концентрация Температура Хранение Продолжительность стабильности Ссылки
Стекло Вода для инъекций 50 mg/ml 2-8°C Не указано
24 Час
3539
Данные по стабльности от изготовителя

Не указано Натрия хлорид 0,9% 5 mg/ml 25°C Не указано
24 Час
3539
Данные по стабльности от изготовителя

Не указано Глюкоза 5% 5 mg/ml 25°C Не указано
24 Час
3539
Данные по стабльности от изготовителя


  Mentions Légales