Senaste uppdateringen :
18/03/2026
Antikoagulans   Bivalirudin  
injektion
Lösningars stabilitet Stabilitet i blandningar Faktorer som påverkar stabiliteten Kompatibilitet Administreringssätt Hänvisningar pdf
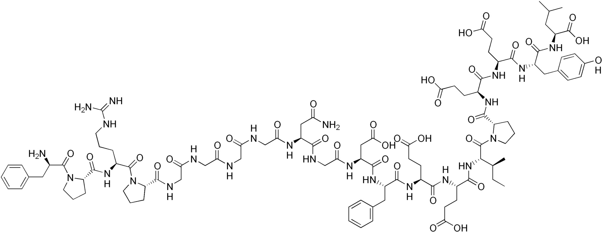
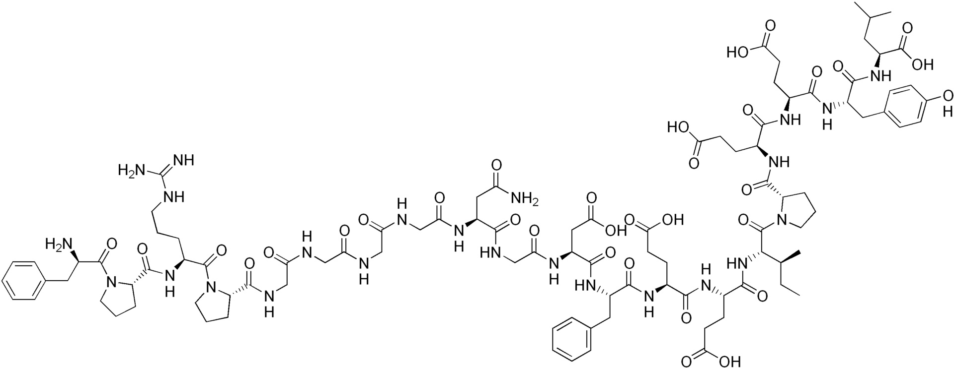
   Molekylstruktur  

Varunamn   Varunamn     

Angivna handelsnamn på läkemedel är enbart vägledande då formulering inklusive hjälpämnen kan variera mellan länder och tillverkare

Amuprux Argentina
Angiomax Australien, Chile, Förenta Staterna, Kanada, nya Zeeland, Peru, Venezuela
Angiox Danmark, Finland, Förenta Staterna, Grekland, Island, Italien, Nederländerna, Norge, Österrike, Polen, Rumänien, Slovenien, Spanien, Storbritannien, Ungern
Bivalirudin Belgien, Danmark, Finland, Slovenien, Storbritannien, Sverige, Tyskland
Bivalirudina Italien, Spanien
Lösningars stabilitet   injektion   Lösningars stabilitet : Bivalirudin     
Behållare Lösningsmedel Koncentration Temperatur Förvaring Stabilitets varaktighet Hänvisningar
Glas Vatten för injektion 50 mg/ml 2-8°C Ej angiven
24 Timma
3539
Tillverkarens stabilitetsuppgifter

Ej angiven Natriumklorid 0,9 % 5 mg/ml 25°C Ej angiven
24 Timma
3539
Tillverkarens stabilitetsuppgifter

Ej angiven Glukos 5 % 5 mg/ml 25°C Ej angiven
24 Timma
3539
Tillverkarens stabilitetsuppgifter


  Mentions Légales