Letztes “update” :
18/03/2026
Antikoagulans   Bivalirudin  
Injektion
Stabilität der Lösung Gemengestabilität Stabilitätbeeinflussende Faktoren Kompatibilitäten Applikationsart Literaturverzeichnis pdf
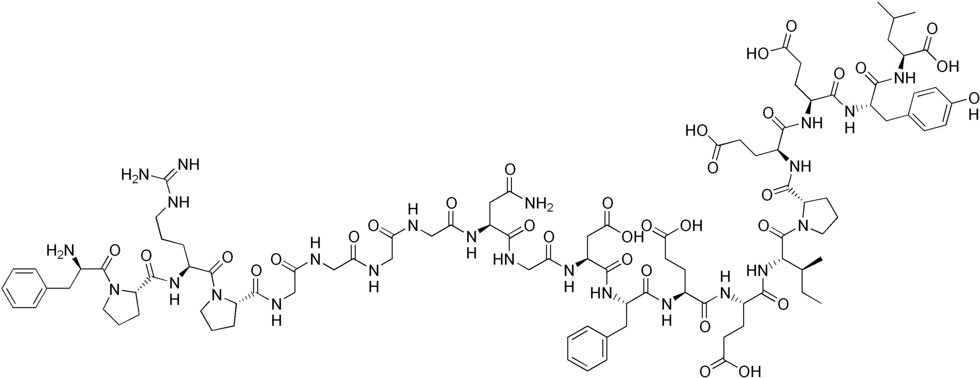
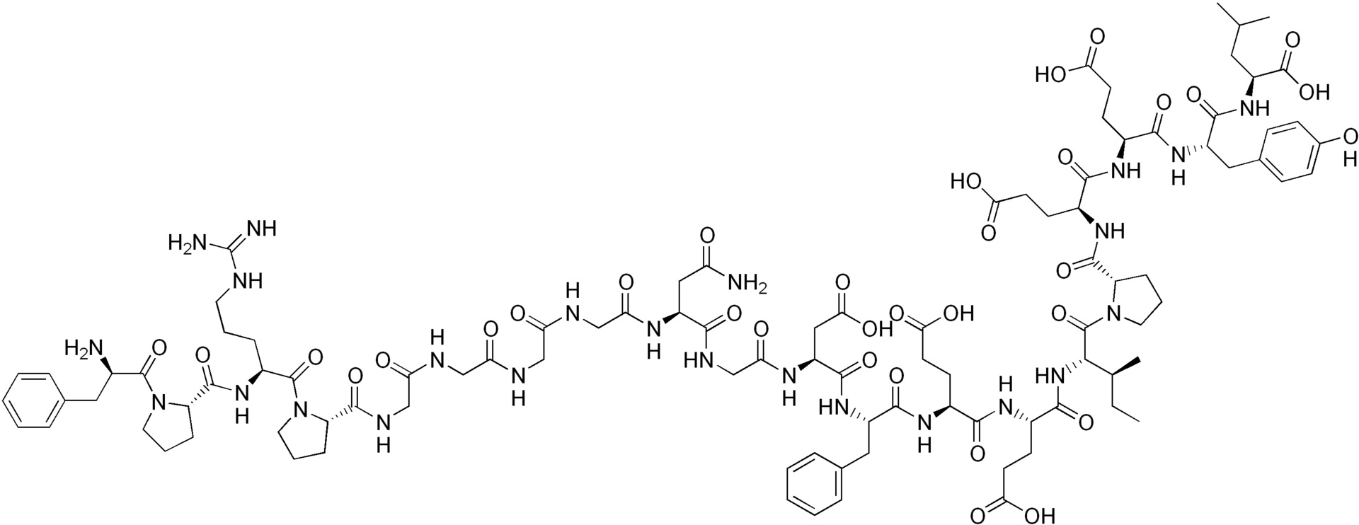
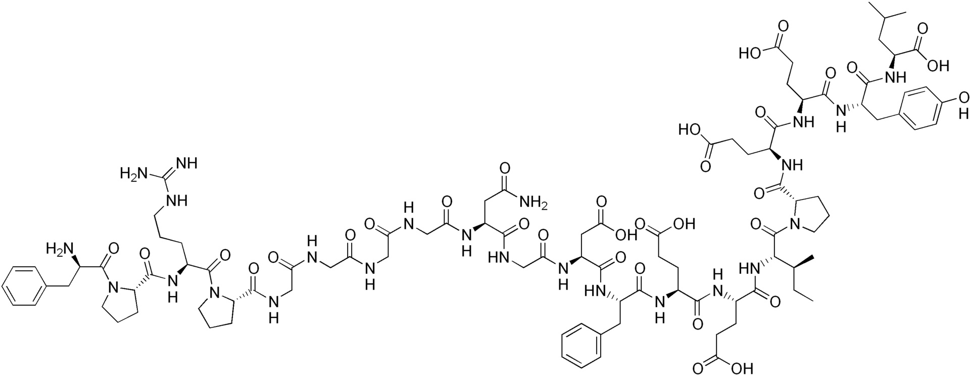
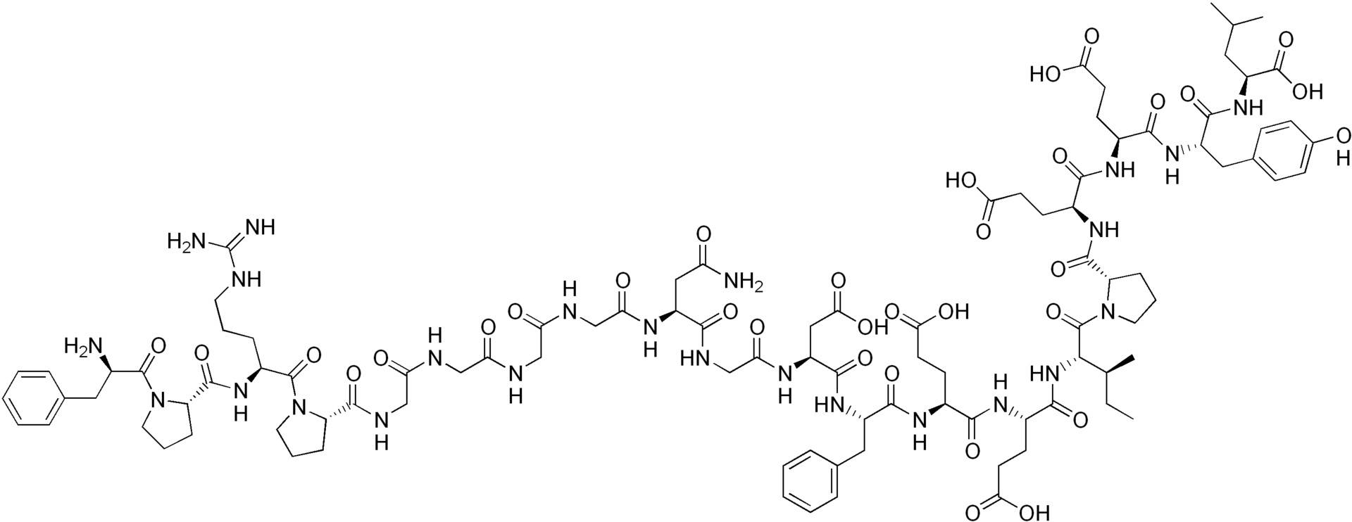
   Chemische Struktur  

Handelsmarke   Handelsmarke     

Handelsnamen sind als beispielhaft anzusehen. Sonstige Bestandteile können je nach Hersteller oder Land verschieden sein

Amuprux Argentinien
Angiomax Australien, Chile, Kanada, Neuseeland, Peru, Venezuela, Vereinigte Staaten von Amerika
Angiox Dänemark, Finnland, Griechenland, Großbritannien, Island, Italien, Niederlande, Norwegen, Österreich, Polen, Rumänien, Slowenien, Spanien, Ungarn, Vereinigte Staaten von Amerika
Bivalirudin Belgien, Dänemark, Deutschland, Finnland, Großbritannien, Schweden, Slowenien
Bivalirudina Italien, Spanien
Stabilität der Lösung   Injektion   Stabilität der Lösung : Bivalirudin     
Behälter Lösungsmittel Konzentration Temperatur Konservierung Dauer der Stabilität Literaturverzeichnis
Glas Wasser für injektable präparate 50 mg/ml 2-8°C Nicht genau angegeben
24 Stunde
3539
Stabilitätsdaten des Herstellers

Nicht genau angegeben 0,9% Natriumchlorid 5 mg/ml 25°C Nicht genau angegeben
24 Stunde
3539
Stabilitätsdaten des Herstellers

Nicht genau angegeben 5% Glucose 5 mg/ml 25°C Nicht genau angegeben
24 Stunde
3539
Stabilitätsdaten des Herstellers


  Mentions Légales