Última actualización :
03/02/2026
Anticoagulante   Bivalirudin  
Inyectables
Estabilidad en solucion Estabilidad en mezcla Factores que influyen sobre la estabilidad Compatibilidades método de inyección Bibliografía pdf
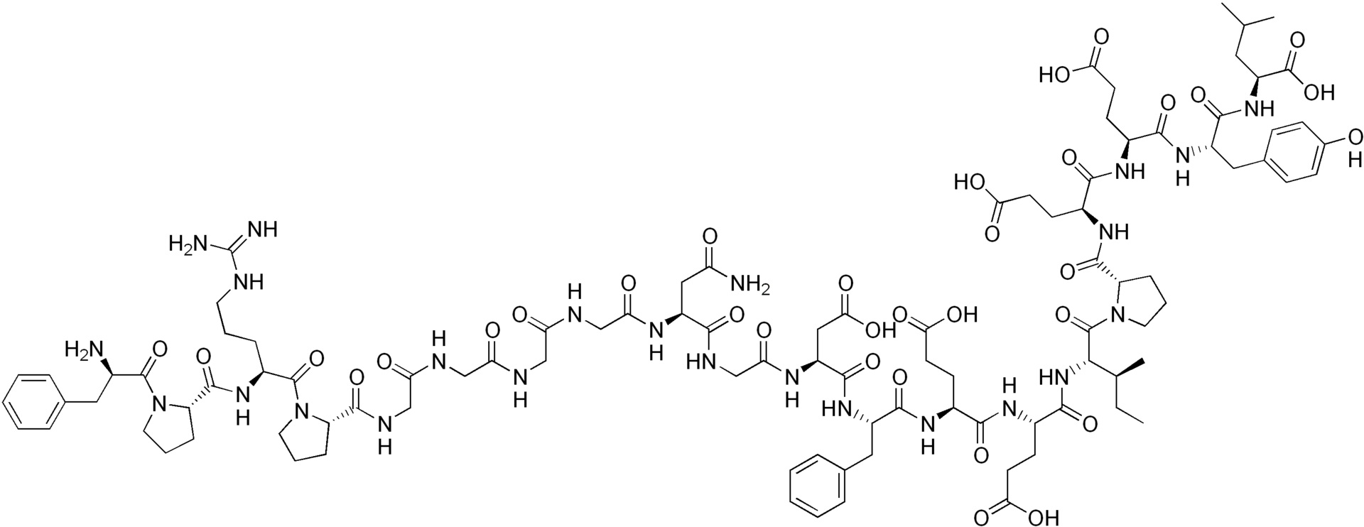
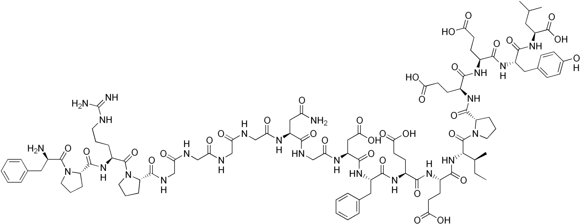
   Estructura química  

Nombre comercial   Nombre comercial     

Los nombres comerciales son orientativos y los excipientes de la formulación pueden ser distintos dependiendo del país y del laboratorio fabricante.

Amuprux Argentina
Angiomax Australia, Canadá, Chile, Estados Unidos de América, Marruecos, Nueva Zelanda, Venezuela
Angiox Austria, Dinamarca, Eslovenia, España, Estados Unidos de América, Finlandia, Gran Bretaña, Grecia, Hungría, Islandia, Italia, Noruega, Países Bajos, Polonia, Rumania
Bivalirudin Alemania, Bélgica, Dinamarca, Eslovenia, Finlandia, Gran Bretaña, Suecia
Bivalirudina España, Italia
Estabilidad en solucion   Inyectables   Estabilidad en solucion : Bivalirudin     
Envase Solvente Concentración Temperatura Conservación Duración de la estabilidad Bibliografía
Vidrio Agua para preparación inyectable 50 mg/ml 2-8°C No precisada
24 Hora
3539
Datos de estabilidad del fabricante

No precisado Cloruro de sodio 0,9% 5 mg/ml 25°C No precisada
24 Hora
3539
Datos de estabilidad del fabricante

No precisado Glucosa 5% 5 mg/ml 25°C No precisada
24 Hora
3539
Datos de estabilidad del fabricante


  Mentions Légales