Последнее обновление :
18/03/2026
Антибиотик   Amoxicillin sodium / clavulanic acid  
Инъекция
Раствор для перорального приёма
Стабильность растворов Стабильность смесей Факторы, которые влияют на стабильность Совместимость Способы введения Библиография pdf
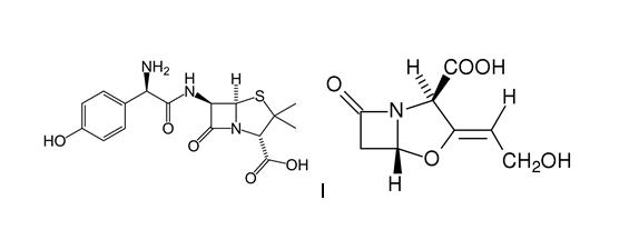
   Химическая структура  

Товарное название   Товарное название     

Trade names are indicative and excipients composition can be different depending on the country and manufacturers

Aktil Венгрия
Amoclan Саудовская Аравия
Amoklavin Турция
Amoksiklav Польша
Amoxclav Саудовская Аравия
Amplamox Бразилия
Augmentin Австрия, Бельгия, Великобритания, Голландия, Греция, Испания, Италия, Объединенные Арабские Эмираты, Польша, Саудовская Аравия, Турция, Франция, чили, Швейцария, Эквадор
Betamox Португалия
Clavamox Австрия
Clavicin Венесуэла, Малайзия
Clavulin Бразилия
Co-amoxi Швейцария
Co-Amoxicillin Швейцария
Curam новая Зеландия, Саудовская Аравия
Darzitil Аргентина
Dibional Аргентина
Julmentin Объединенные Арабские Эмираты
Novamox Бразилия
Sulbamox чили
Tarometin Польша
Trifamox Аргентина, Колумбия, Мексика, Эквадор
Стабильность растворов   Инъекция   Стабильность растворов : Amoxicillin sodium / clavulanic acid     
Упаковка Растворитель Концентрация Температура Хранение Продолжительность стабильности Ссылки
Полиолефин Натрия хлорид 0,9% 20 / 2 mg/ml 20-25°C Свет
4 Час
1746
Уровень доказательности B

Полиолефин Натрия хлорид 0,9% 20 / 2 mg/ml 4°C Защищён от света
8 Час
1746
Уровень доказательности B

Полиолефин Натрия хлорид 0,9% 20 / 4 mg/ml 20-25°C Свет
4 Час
1746
Уровень доказательности B

Полиолефин Натрия хлорид 0,9% 20 / 4 mg/ml 4°C Защищён от света
8 Час
1746
Уровень доказательности B

Шприц полипропилен Вода для инъекций 25/5 mg/ml 2-8°C Защищён от света
4 Час
4922
Уровень доказательности D


  Mentions Légales