Viimeisin päivitys :
18/03/2026
Antibiootit   Amoxicillin sodium / clavulanic acid  
Injektioneste
Oraaliliuos
Stabilius liuoksessa Stabilius seoksissa Tekijät, jotka vaikuttavat stabiliuteen Yhteensopivuus Antotapa Viitteet pdf
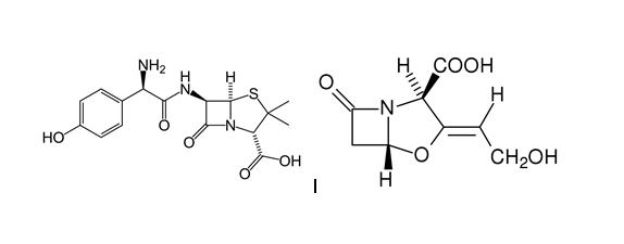
   Kemiallinen rakenne  

Kauppanimi   Kauppanimi     

Trade names are indicative and excipients composition can be different depending on the country and manufacturers

Aktil Unkari
Amoclan Saudi-Arabia
Amoklavin Turkki
Amoksiklav Puola
Amoxclav Saudi-Arabia
Amplamox Brasilia
Augmentin Belgia, Chile, Ecuador, Espanja, Hollanti, Iso-Britannia, Italia, Itävalta, Kreikka, Puola, Ranska, Saudi-Arabia, Sveitsi, Turkki, Yhdistyneet arabiemiirikunnat
Betamox Portugali
Clavamox Itävalta
Clavicin Malesia, Venezuela
Clavulin Brasilia
Co-amoxi Sveitsi
Co-Amoxicillin Sveitsi
Curam New Zealand, Saudi-Arabia
Darzitil Argentiina
Dibional Argentiina
Julmentin Yhdistyneet arabiemiirikunnat
Novamox Brasilia
Sulbamox Chile
Tarometin Puola
Trifamox Argentiina, Ecuador, Kolumbia, Meksiko
Stabilius liuoksessa   Injektioneste   Stabilius liuoksessa : Amoxicillin sodium / clavulanic acid     
Astia Liuotin Konsentraatio Lämpötila Säilytys Vakauden kesto Viitteet
Polyolefiini Natriumkloridi 0,9% 20 / 2 mg/ml 20-25°C Valo
4 tunti
1746
Näytön laajuus B

Polyolefiini Natriumkloridi 0,9% 20 / 2 mg/ml 4°C Suojattava valolta
8 tunti
1746
Näytön laajuus B

Polyolefiini Natriumkloridi 0,9% 20 / 4 mg/ml 20-25°C Valo
4 tunti
1746
Näytön laajuus B

Polyolefiini Natriumkloridi 0,9% 20 / 4 mg/ml 4°C Suojattava valolta
8 tunti
1746
Näytön laajuus B

Ruisku  polypropeeni Injektionesteisiin käytettävä vesi 25/5 mg/ml 2-8°C Suojattava valolta
4 tunti
4922
Näytön laajuus D


  Mentions Légales