最新更新 :
18/03/2026
抗菌薬   Amoxicillin sodium / clavulanic acid  
注射薬
経口液
溶媒内の安定性 混合時の安定性 安定性に影響する因子 互換性 投与経路 引用文献 PDF
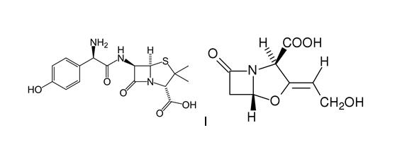
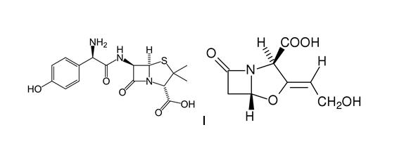
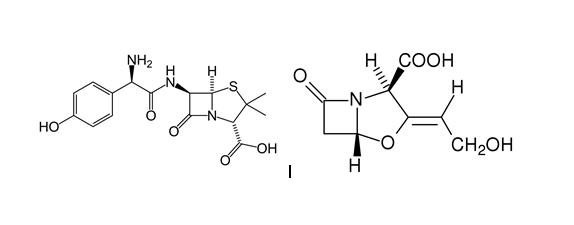
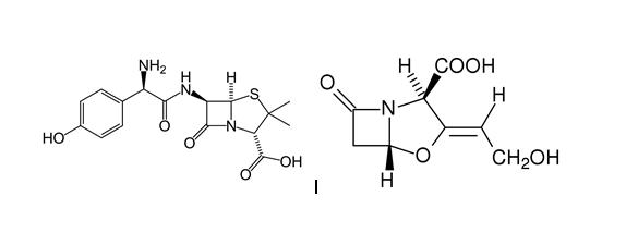
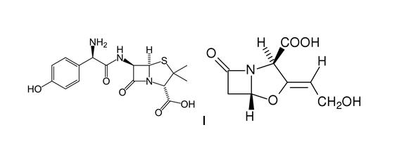
   化学構造  

商品名   商品名     

商品名、賦形剤は国、製薬会社ごとに異なることがあります

Aktil ハンガリー
Amoclan サウジアラビア
Amoklavin トルコ
Amoksiklav ポーランド
Amoxclav サウジアラビア
Amplamox ブラジル
Augmentin アラブ首長国連邦, イギリス, イタリア, エクアドル, オランダ, オーストリア, ギリシア, サウジアラビア, スイス, スペイン, チリ, トルコ, フランス, ベルギー, ポーランド
Betamox ポルトガル
Clavamox オーストリア
Clavicin ベネズエラ, マレーシア
Clavulin ブラジル
Co-amoxi スイス
Co-Amoxicillin スイス
Curam サウジアラビア, ニュージーランド
Darzitil アルゼンチン
Dibional アルゼンチン
Julmentin アラブ首長国連邦
Novamox ブラジル
Sulbamox チリ
Tarometin ポーランド
Trifamox アルゼンチン, エクアドル, コロンビア, メキシコ
溶媒内の安定性   注射薬   溶媒内の安定性 : Amoxicillin sodium / clavulanic acid     
容器 溶媒 濃度 温度 保管 安定期間 引用文献
ポリオレフィン NaCl 0,9% 20 / 2 mg/ml 20-25°C 光
4 時間
1746
エビデンスレベル B

ポリオレフィン NaCl 0,9% 20 / 2 mg/ml 4°C 遮光
8 時間
1746
エビデンスレベル B

ポリオレフィン NaCl 0,9% 20 / 4 mg/ml 20-25°C 光
4 時間
1746
エビデンスレベル B

ポリオレフィン NaCl 0,9% 20 / 4 mg/ml 4°C 遮光
8 時間
1746
エビデンスレベル B

シリンジ ポリプロピレン 注射用水 25/5 mg/ml 2-8°C 遮光
4 時間
4922
エビデンスレベル D


  Mentions Légales