Siste oppdatering :
18/03/2026
Antibiotika   Amoxicillin sodium / clavulanic acid  
Injeksjon
Mikstur
Oppløsningsstabilitet Stabilitet i blandinger Faktorer som påvirker stabiliteten Kompatibilitet Administrasjonsmåte Referanser pdf
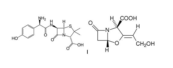
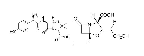
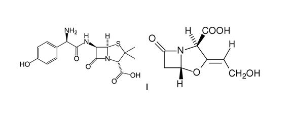
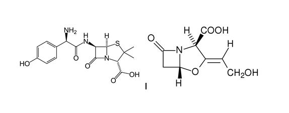
   Kjemisk struktur  

Handelsnavn   Handelsnavn     

Handelsnavn er veiledende og sammensetning av hjelpestoffer kan være forskjellig avhengig av land og produsent

Aktil Ungarn
Amoclan Saudi-Arabia
Amoklavin Tyrkia
Amoksiklav Polen
Amoxclav Saudi-Arabia
Amplamox Brasil
Augmentin Belgia, Chile, De forente arabiske emirater, Ecuador, Frankrike, Hellas, Italia, Nederland, Polen, Saudi-Arabia, Spania, Storbritannia, Sveits, Tyrkia, Østerrike
Betamox Portugal
Clavamox Østerrike
Clavicin Malaysia, Venezuela
Clavulin Brasil
Co-amoxi Sveits
Co-Amoxicillin Sveits
Curam New Zealand, Saudi-Arabia
Darzitil Argentina
Dibional Argentina
Julmentin De forente arabiske emirater
Novamox Brasil
Sulbamox Chile
Tarometin Polen
Trifamox Argentina, Colombia, Ecuador, Mexico
Oppløsningsstabilitet   Injeksjon   Oppløsningsstabilitet : Amoxicillin sodium / clavulanic acid     
Beholder Oppløsningsmiddel Konsentrasjon Temperatur Oppbevaring Varighet av stabilitet Referanser
Polyolefin Natriumklorid 0,9 % 20 / 2 mg/ml 20-25°C Lys
4 Tid
1746
Bevisgrad B

Polyolefin Natriumklorid 0,9 % 20 / 2 mg/ml 4°C Beskyttes mot lys
8 Tid
1746
Bevisgrad B

Polyolefin Natriumklorid 0,9 % 20 / 4 mg/ml 20-25°C Lys
4 Tid
1746
Bevisgrad B

Polyolefin Natriumklorid 0,9 % 20 / 4 mg/ml 4°C Beskyttes mot lys
8 Tid
1746
Bevisgrad B

Sprøyte polypropylen Vann til injeksjon 25/5 mg/ml 2-8°C Beskyttes mot lys
4 Tid
4922
Bevisgrad D


  Mentions Légales