Poslední aktualizace :
17/12/2025
Antibiotikum   Amoxicillin sodium / clavulanic acid  
injekce
Perorální roztok
Stabilita roztoků Stabilita směsí Faktory ovlivňující stabilitu Kompatibilita Způsoby aplikace Odkazy pdf
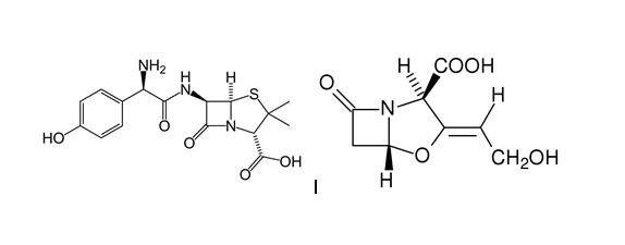
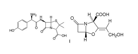
   Chemický vzorec  

Obchodní název   Obchodní název     

Trade names are indicative and excipients composition can be different depending on the country and manufacturers

Aktil MaÔarsko
Amoclan Saúdská Arábie
Amoklavin Turecko
Amoksiklav Polsko
Amoxclav Saúdská Arábie
Amplamox BrazÌlie
Augmentin äpanÏlsko, Belgie, Chile, Ekvádor, Francie, Itálie, Nizozemsko, Polsko, Rakousko, Saúdská Arábie, Spojené arabské emiráty, Švýcarsko, Turecko, Velká Británie, ÿecko
Betamox Portugalsko
Clavamox Rakousko
Clavicin Malajsie, Venezuela
Clavulin BrazÌlie
Co-amoxi Švýcarsko
Co-Amoxicillin Švýcarsko
Curam nový Zéland, Saúdská Arábie
Darzitil Argentina
Dibional Argentina
Julmentin Spojené arabské emiráty
Novamox BrazÌlie
Sulbamox Chile
Tarometin Polsko
Trifamox Argentina, Ekvádor, Kolumbie, Mexiko
Stabilita roztoků   injekce   Stabilita roztoků : Amoxicillin sodium / clavulanic acid     
Obal RozpouötÏdlo Koncentrace Teplota Uchovávání Trvání stability Odkazy
Polyoleofin Chlorid sodný 0,9% 20 / 2 mg/ml 20-25°C SvÏtlo
4 Hodina
1746
Úroveň zkoušky B

Polyoleofin Chlorid sodný 0,9% 20 / 2 mg/ml 4°C Chráněno před světlem
8 Hodina
1746
Úroveň zkoušky B

Polyoleofin Chlorid sodný 0,9% 20 / 4 mg/ml 20-25°C SvÏtlo
4 Hodina
1746
Úroveň zkoušky B

Polyoleofin Chlorid sodný 0,9% 20 / 4 mg/ml 4°C Chráněno před světlem
8 Hodina
1746
Úroveň zkoušky B

stříkačka polypropylen Voda pro injekci 25/5 mg/ml 2-8°C Chráněno před světlem
4 Hodina
4922
Úroveň zkoušky D


  Mentions Légales