Ostatnia aktualizacja :
17/12/2025
Antybiotyk   Amoxicillin sodium / clavulanic acid  
Injekcje
Roztwór doustny
Trwałość roztworów Trwałość w mieszaninie Czynnik wpływający na trwałość Zgodność Sposób podania Bibliografia pdf
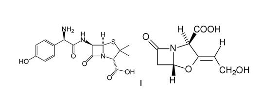
   Struktura chemiczna  

Nazwa handlowa   Nazwa handlowa     

Trade names are indicative and excipients composition can be different depending on the country and manufacturers

Aktil Węgry
Amoclan Arabia Saudyjska
Amoklavin Turcja
Amoksiklav Polska
Amoxclav Arabia Saudyjska
Amplamox Brazylia
Augmentin Arabia Saudyjska, Austria, Belgia, Chile, Ekwador, Francja , Grecja, Hiszpania, Holandia, Polska, Szwajcaria, Turcja, Wielka Brytania, Włochy, Zjednoczone Emiraty Arabskie
Betamox Portugalia
Clavamox Austria
Clavicin Malezja, Wenezuela
Clavulin Brazylia
Co-amoxi Szwajcaria
Co-Amoxicillin Szwajcaria
Curam Arabia Saudyjska, nowa Zelandia
Darzitil Argentyna
Dibional Argentyna
Julmentin Zjednoczone Emiraty Arabskie
Novamox Brazylia
Sulbamox Chile
Tarometin Polska
Trifamox Argentyna, Ekwador, KolumbiaKolumbia, Meksyk
Trwałość roztworów   Injekcje   Trwałość roztworów : Amoxicillin sodium / clavulanic acid     
Pojemnik Rozpuszczalnik Stężenie Temperatura Przechowywanie Czas trwania stabilności Bibliografia
Poliolefina Chlorek sodu 0,9% 20 / 2 mg/ml 20-25°C światło
4 Godzina
1746
Poziom wiarygodności B

Poliolefina Chlorek sodu 0,9% 20 / 2 mg/ml 4°C Chronić od światła
8 Godzina
1746
Poziom wiarygodności B

Poliolefina Chlorek sodu 0,9% 20 / 4 mg/ml 20-25°C światło
4 Godzina
1746
Poziom wiarygodności B

Poliolefina Chlorek sodu 0,9% 20 / 4 mg/ml 4°C Chronić od światła
8 Godzina
1746
Poziom wiarygodności B

Strzykawka Woda do wstrzyknięć 25/5 mg/ml 2-8°C Chronić od światła
4 Godzina
4922
Poziom wiarygodności D


  Mentions Légales