Zadnji put ažurirano :
18/03/2026
antibiotik   Amoxicillin sodium / clavulanic acid  
injekcija
oralna otopina
Stabilizacija rješenja Stabilnost mješavine Stabilizacijski faktor Kompatibilnosti način davanja lijeka Bibliografija pdf
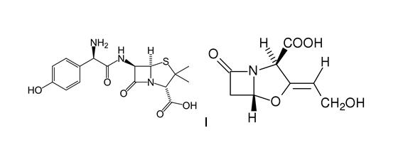
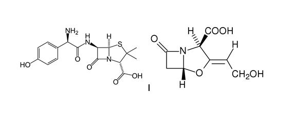
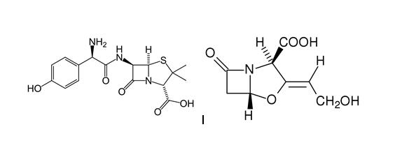
   Kemijska struktura  

Nekomercijalni   Nekomercijalni     

Zaštićeni nazivi su indikativni i sastav ekscipijensa može biti različit ovisno o državi i laboratorijima

Aktil Madžarska
Amoclan Saudijska Arabija
Amoklavin Turska
Amoksiklav Poljska
Amoxclav Saudijska Arabija
Amplamox Brazil
Augmentin Austrija, Belgija, Čile, Ekvador, Francuska, Grčka, Italija, Nizozemska, Poljska, Saudijska Arabija, Španjolska, Švicarska, Turska, Ujedinjeni Arapski Emirati, Velika Britanija
Betamox Portugal
Clavamox Austrija
Clavicin Malezija, Venecuela
Clavulin Brazil
Co-amoxi Švicarska
Co-Amoxicillin Švicarska
Curam novi Zeland, Saudijska Arabija
Darzitil Argentina
Dibional Argentina
Julmentin Ujedinjeni Arapski Emirati
Novamox Brazil
Sulbamox Čile
Tarometin Poljska
Trifamox Argentina, Ekvador, Kolumbija, Meksiko
Stabilizacija rješenja   injekcija   Stabilizacija rješenja : Amoxicillin sodium / clavulanic acid     
Kontejner sredstvo za rastapanje koncentracija temperatura Konzerviranje Trajanje stabilnosti Bibliografija
poliolefin natrijumkorid 0,9% 20 / 2 mg/ml 20-25°C svjetlost
4 sat
1746
Razina dokaza B

poliolefin natrijumkorid 0,9% 20 / 2 mg/ml 4°C Zaštićeno od svjetlosti
8 sat
1746
Razina dokaza B

poliolefin natrijumkorid 0,9% 20 / 4 mg/ml 20-25°C svjetlost
4 sat
1746
Razina dokaza B

poliolefin natrijumkorid 0,9% 20 / 4 mg/ml 4°C Zaštićeno od svjetlosti
8 sat
1746
Razina dokaza B

špric polipropilen čista voda za injektiranje 25/5 mg/ml 2-8°C Zaštićeno od svjetlosti
4 sat
4922
Razina dokaza D


  Mentions Légales