Última actualización :
18/03/2026
Antifúngico   Amphotericin B liposomale  
Inyectables
Gotas oculares
Estabilidad en solucion Estabilidad en mezcla Factores que influyen sobre la estabilidad Compatibilidades método de inyección Bibliografía pdf
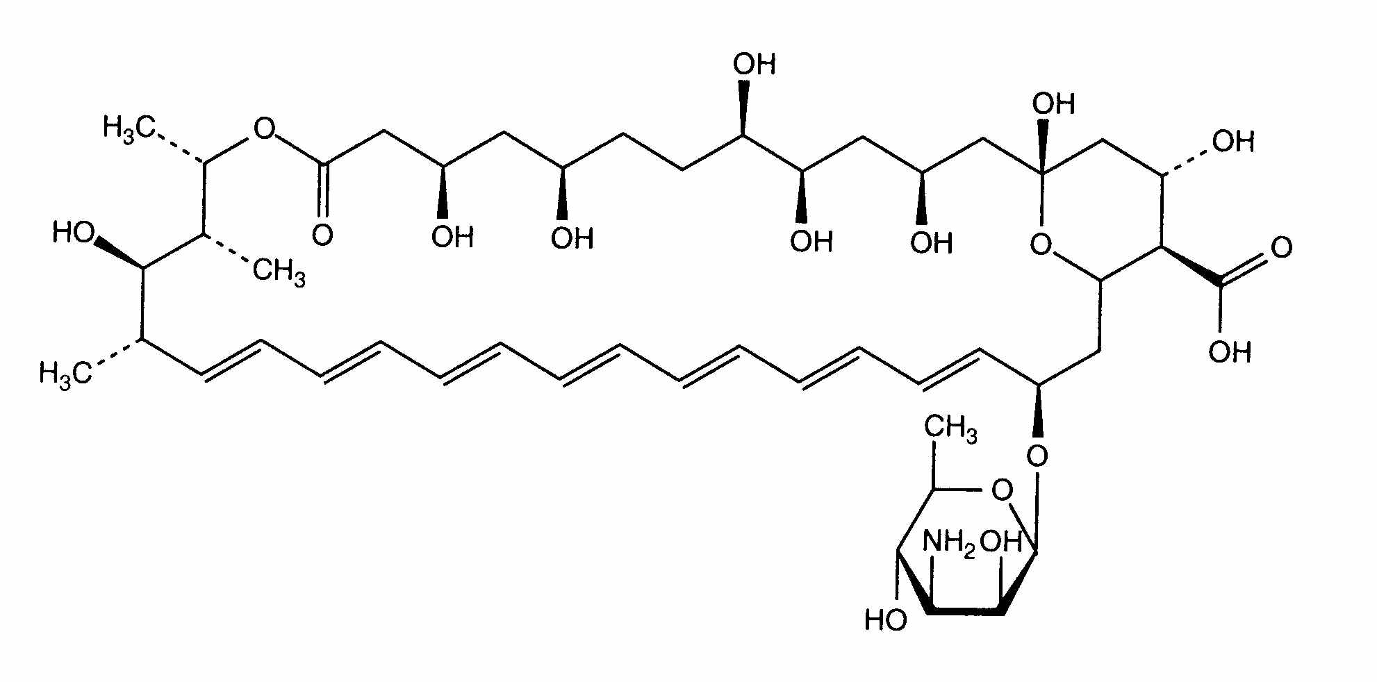
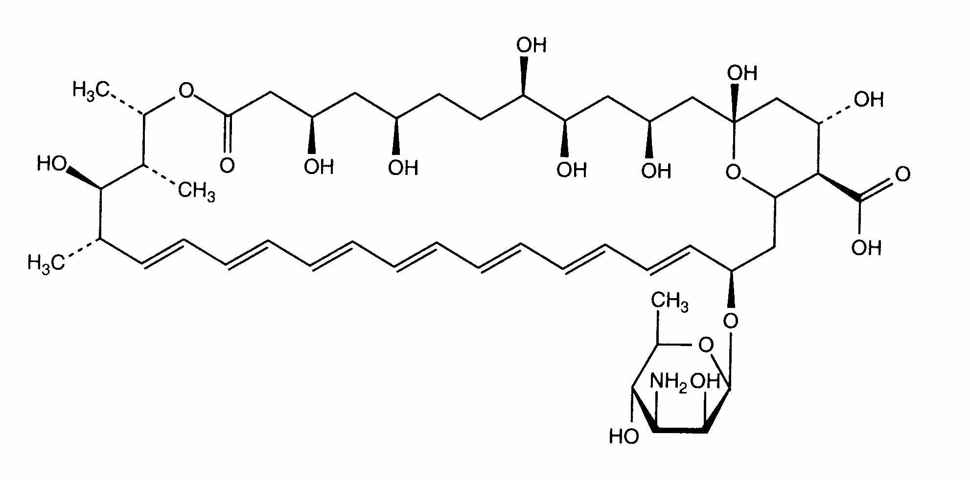
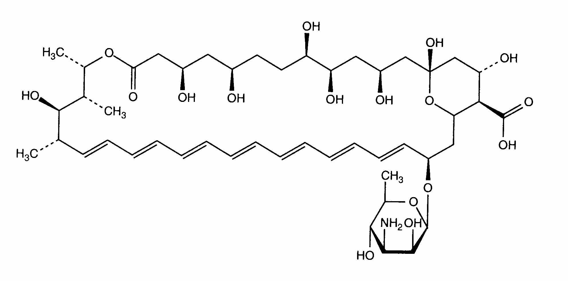
Liposoma   Estructura química  

Nombre comercial   Nombre comercial     

Los nombres comerciales son orientativos y los excipientes de la formulación pueden ser distintos dependiendo del país y del laboratorio fabricante.

Ambisome Alemania, Arabia Saudita, Argentina, Austria, Bélgica, Brasil, Canadá, Chile, Dinamarca, Egipto, Emiratos Árabes Unidos, España, Estados Unidos de América, Finlandia, Francia, Gran Bretaña, Grecia, Hungría, India, Irlanda, Islandia, Italia, Japón, Luxemburgo, Marruecos, Noruega, Nueva Zelanda, Países Bajos, Polonia, Portugal, Suecia, Suiza, Tailandia, Turquía
Estabilidad en solucion   Inyectables   Estabilidad en solucion : Amphotericin B liposomale     
Envase Solvente Concentración Temperatura Conservación Duración de la estabilidad Bibliografía
Vidrio Agua para preparación inyectable 4 mg/ml 23-27°C A cubierto de la luz
24 Hora
3398
Datos de estabilidad del fabricante

Vidrio Agua para preparación inyectable 4 mg/ml 4°C No precisada
7 Día
3398
Datos de estabilidad del fabricante

Vidrio Agua para preparación inyectable 4 mg/ml 4°C No precisada
7 Día
4821
Nivel de evidencia D

Polipropileno Agua para preparación inyectable 4 mg/ml 4°C No precisada
7 Día
3398
Datos de estabilidad del fabricante

No precisado Glucosa 5% 0,2 & 2 mg/ml 4°C No precisada
7 Día
4821
Nivel de evidencia D

No precisado Glucosa 5% 0,2 >> 2 mg/ml 2-8°C No precisada
7 Día
3398
Datos de estabilidad del fabricante

No precisado Glucosa 5% 0,2 >> 2 mg/ml 23-27°C No precisada
72 Hora
3398
Datos de estabilidad del fabricante


  Mentions Légales