Останнє оновлення :
18/03/2026
Протигрибковий   Amphotericin B liposomale  
ін'єкція
Очні краплі
Стійкість в розчинах Стійкість сумішей Фактори, що впливають на стабільність Сумісність Шлях введення Список літератури pdf
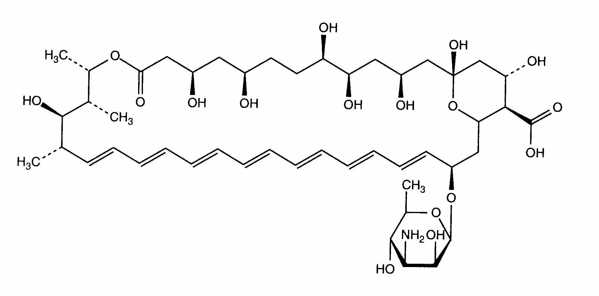
Ліпосома   Хімічна структура  

Торгова назва   Торгова назва     

Торгові назви є орієнтовними, а склад допоміжних речовин може бути різним залежно від країни та виробника

Ambisome Єгипет, Індія, Ірландія, Ісландія, Іспанія, Італія, Австрія, Аргентина, Бельгія, Бразилія, Великобританія, Греція, Данія, Канада, Люксембург, Нідерланди, Німеччина, Нова Зеландія, Норвегія, Об'єднані Арабські Емірати, Перу, Польща, Португалія, Саудівська Аравія, Сполучені Штати Америки, Таїланд, Туреччина, Угорщина, Фінляндія, Франція, Чилі, Швейцарія, Швеція, Японія
Стійкість в розчинах   ін'єкція   Стійкість в розчинах : Amphotericin B liposomale     
Контейнер Розчинник Концентрація температура Зберігання Тривалість стабільності Список літератури
скло Вода для ін'єкцій 4 mg/ml 23-27°C Берегти від світла
24 годину
3398
Дані виробника про стабільність

скло Вода для ін'єкцій 4 mg/ml 4°C Не визначено
7 День
3398
Дані виробника про стабільність

скло Вода для ін'єкцій 4 mg/ml 4°C Не визначено
7 День
4821
Рівень доказовості D

Поліпропілен Вода для ін'єкцій 4 mg/ml 4°C Не визначено
7 День
3398
Дані виробника про стабільність

Не визначено Глюкоза 5% 0,2 & 2 mg/ml 4°C Не визначено
7 День
4821
Рівень доказовості D

Не визначено Глюкоза 5% 0,2 >> 2 mg/ml 2-8°C Не визначено
7 День
3398
Дані виробника про стабільність

Не визначено Глюкоза 5% 0,2 >> 2 mg/ml 23-27°C Не визначено
72 годину
3398
Дані виробника про стабільність


  Mentions Légales