viimane versioon :
18/03/2026
Seenevastane ravim   Amphotericin B liposomale  
Süsteravim
Silmatilgad
Stabiilsus lahustes Stabiilsust mõjutavad tegurid stabiilsust mõjutavad faktorid Sobimatus Manustamis viis Viited pdf
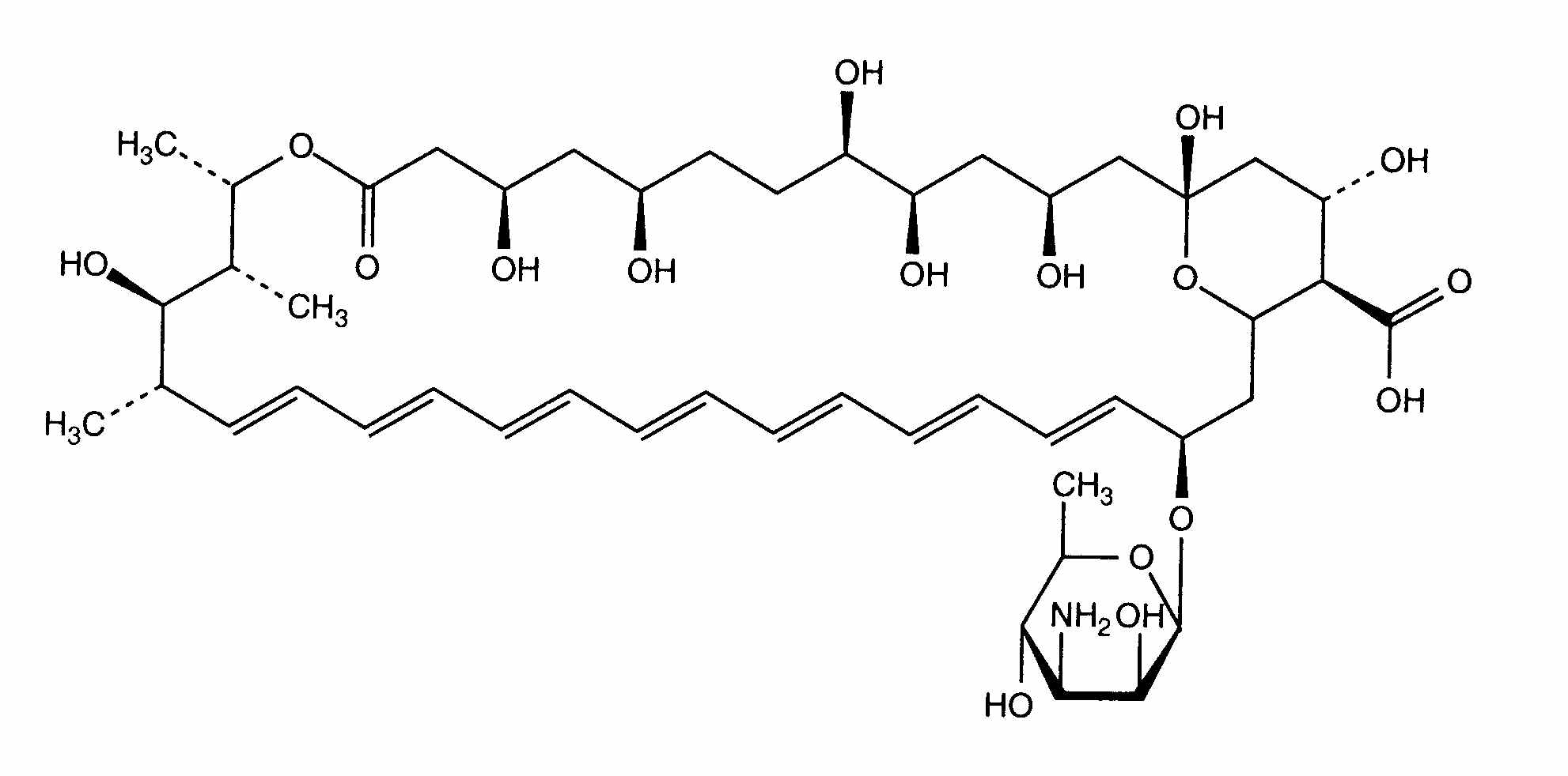
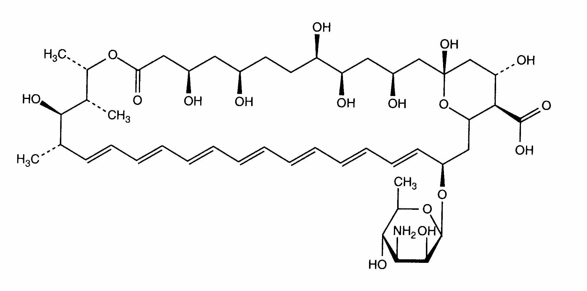
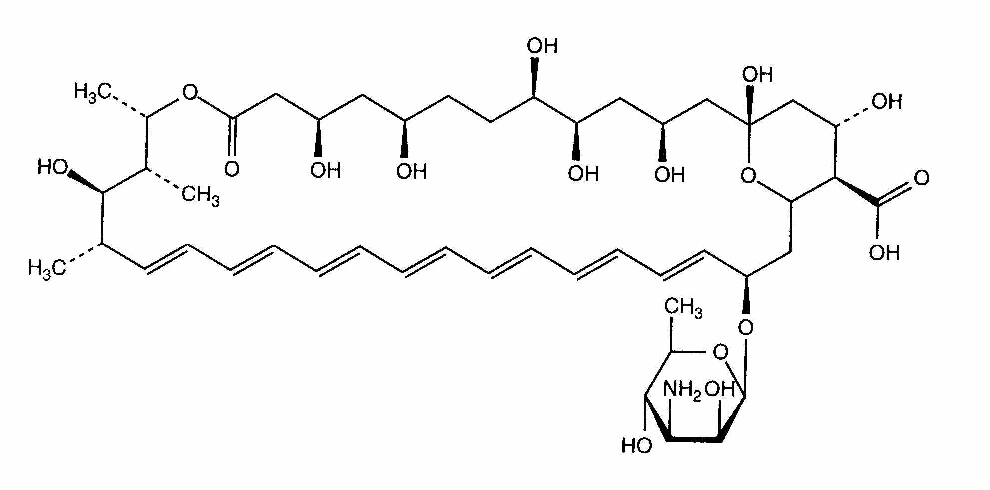
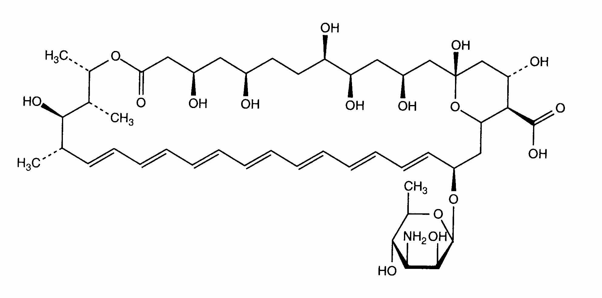
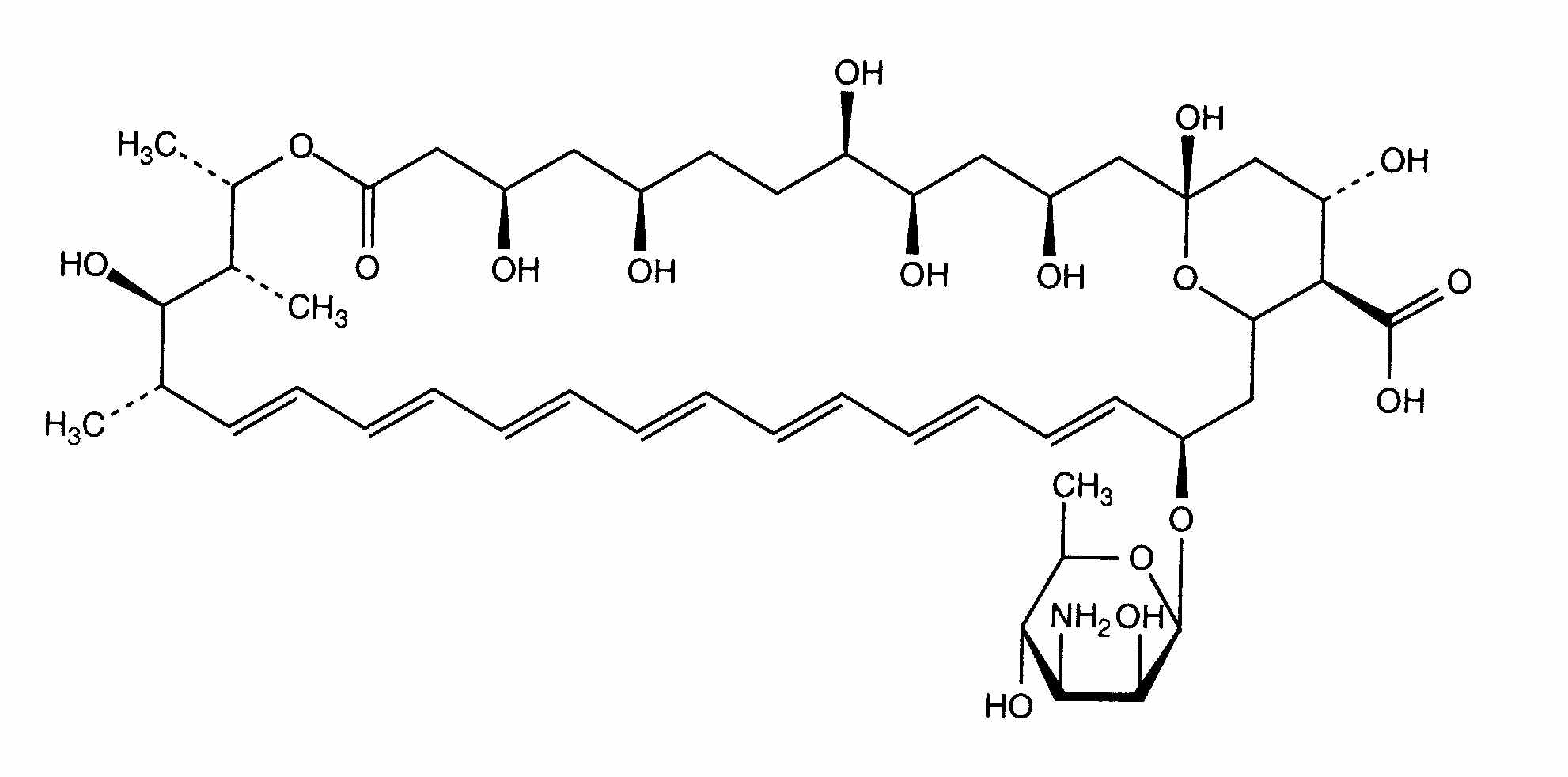
liposoom   keemiline struktuur  

Kaubanduslikud nimed erinevates maades   Kaubanduslikud nimed erinevates maades     

Preparaatide nimed on näitlikud ja abianete sisaldus võib erineda sõltuvalt riigist ja laborist

Ambisome Ameerika ühendriigid, Araabia Ühendemiraadid, Argentiina, Austria, Belgia, Brasiilia, Egiptus, Hispaania, Holland, Iirimaa, India, Island, Itaalia, Jaapan, Kanada, Kreeka, Luksemburg, Maroko, Norra, Poola, Portugal, Prantsusmaa, Rootsi, Saksamaa, Saudi Araabia, Soome, Suurbritannia, Sveits, Taani, Tai, Tšiili, Türgi, Ungari, uus-Meremaa
Stabiilsus lahustes   Süsteravim   Stabiilsus lahustes : Amphotericin B liposomale     
konteiner lahusti kontsentratsioon temperatuur ladustamine Stabiilsuse kestus Viited
klaas süstevesi 4 mg/ml 23-27°C kaitsta valguse eest
24 Tund
3398
Tootja info stabiilsuse kohta

klaas süstevesi 4 mg/ml 4°C pole täpsustatud
7 päev
3398
Tootja info stabiilsuse kohta

klaas süstevesi 4 mg/ml 4°C pole täpsustatud
7 päev
4821
Tõenduspõhisuse tase D

polüpropüleen süstevesi 4 mg/ml 4°C pole täpsustatud
7 päev
3398
Tootja info stabiilsuse kohta

pole täpsustatud glükoos 5% 0,2 & 2 mg/ml 4°C pole täpsustatud
7 päev
4821
Tõenduspõhisuse tase D

pole täpsustatud glükoos 5% 0,2 >> 2 mg/ml 2-8°C pole täpsustatud
7 päev
3398
Tootja info stabiilsuse kohta

pole täpsustatud glükoos 5% 0,2 >> 2 mg/ml 23-27°C pole täpsustatud
72 Tund
3398
Tootja info stabiilsuse kohta


  Mentions Légales