Laatste update :
18/03/2026
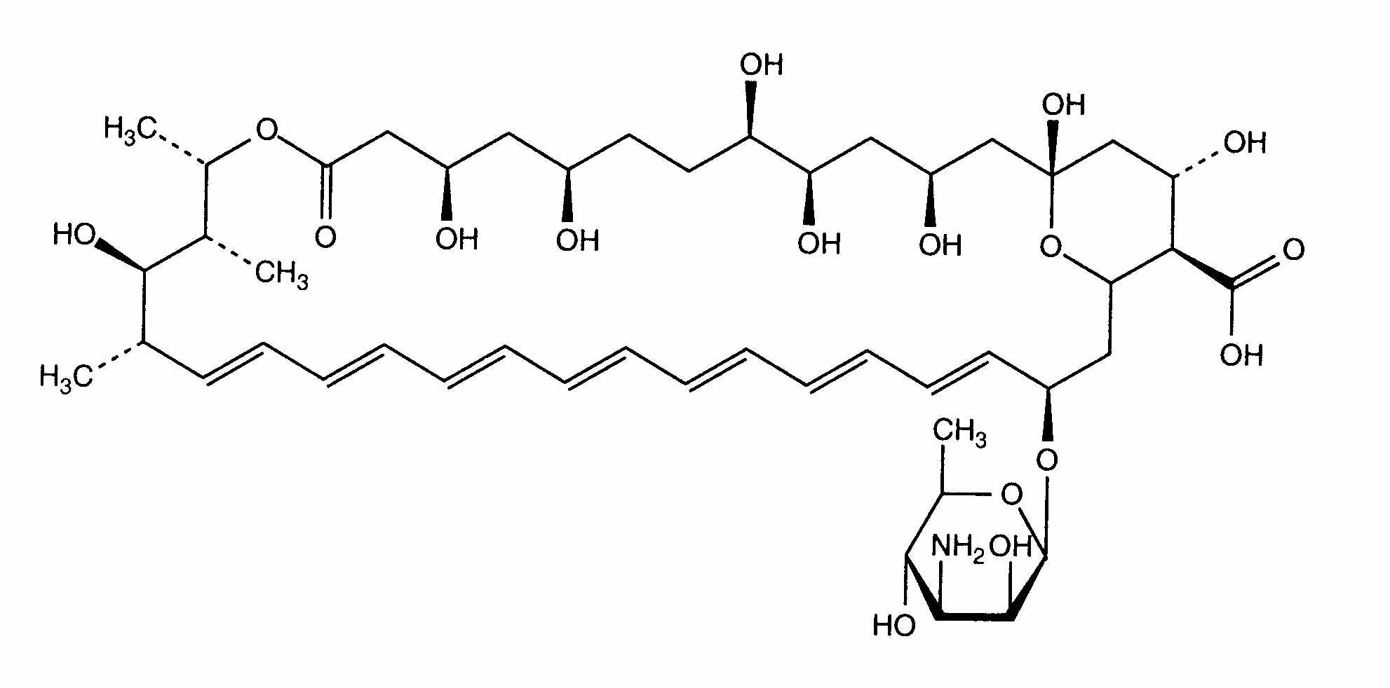
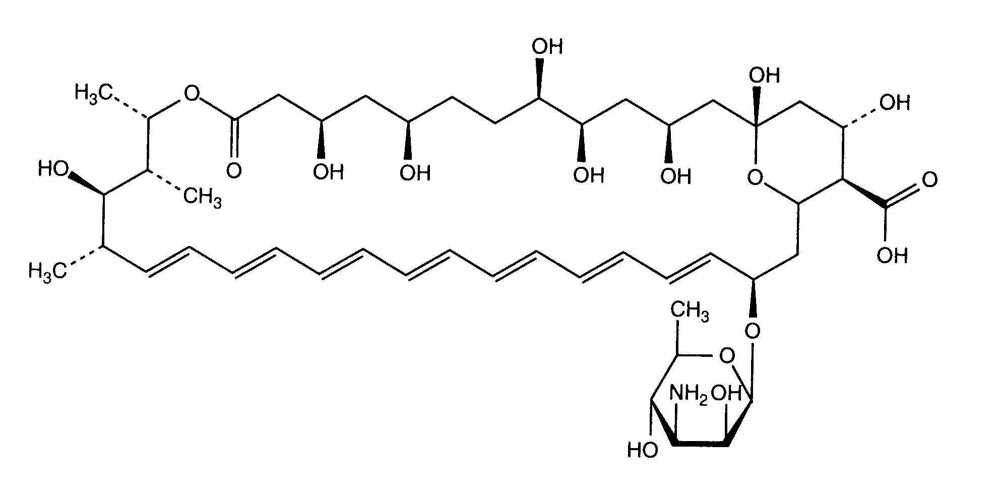
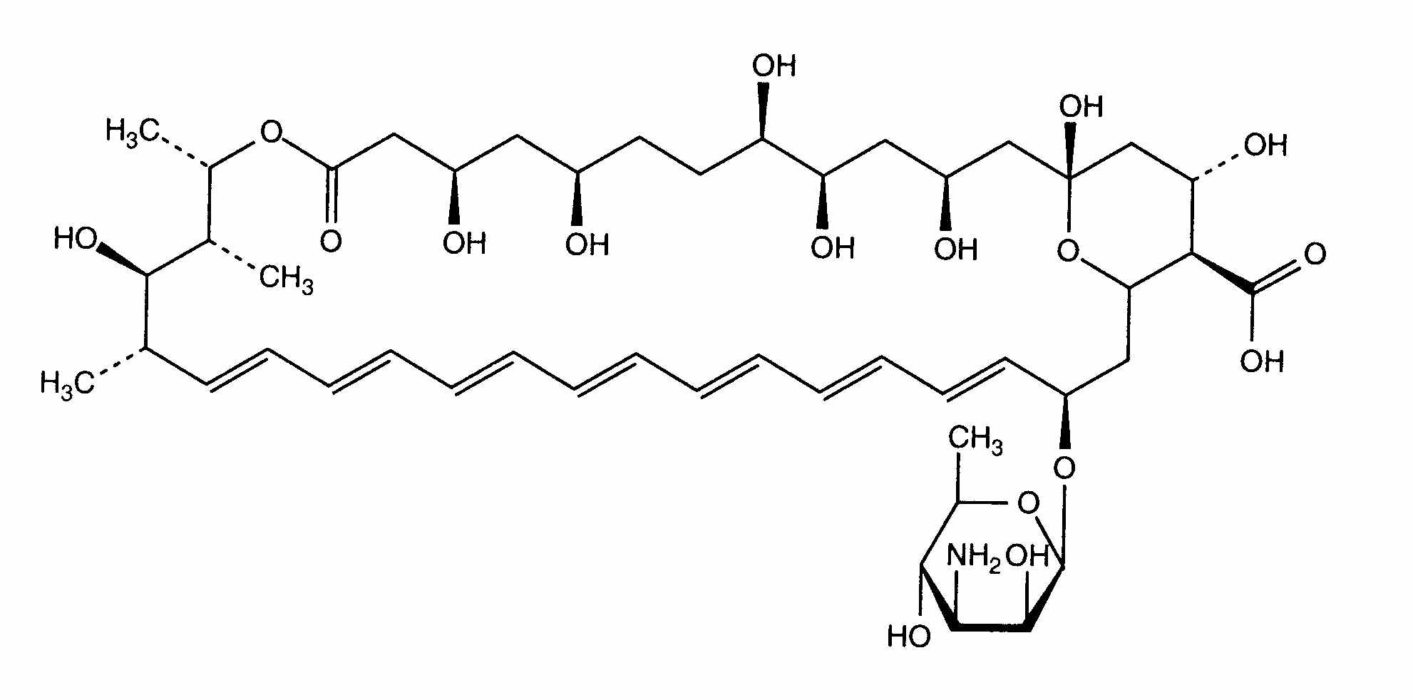
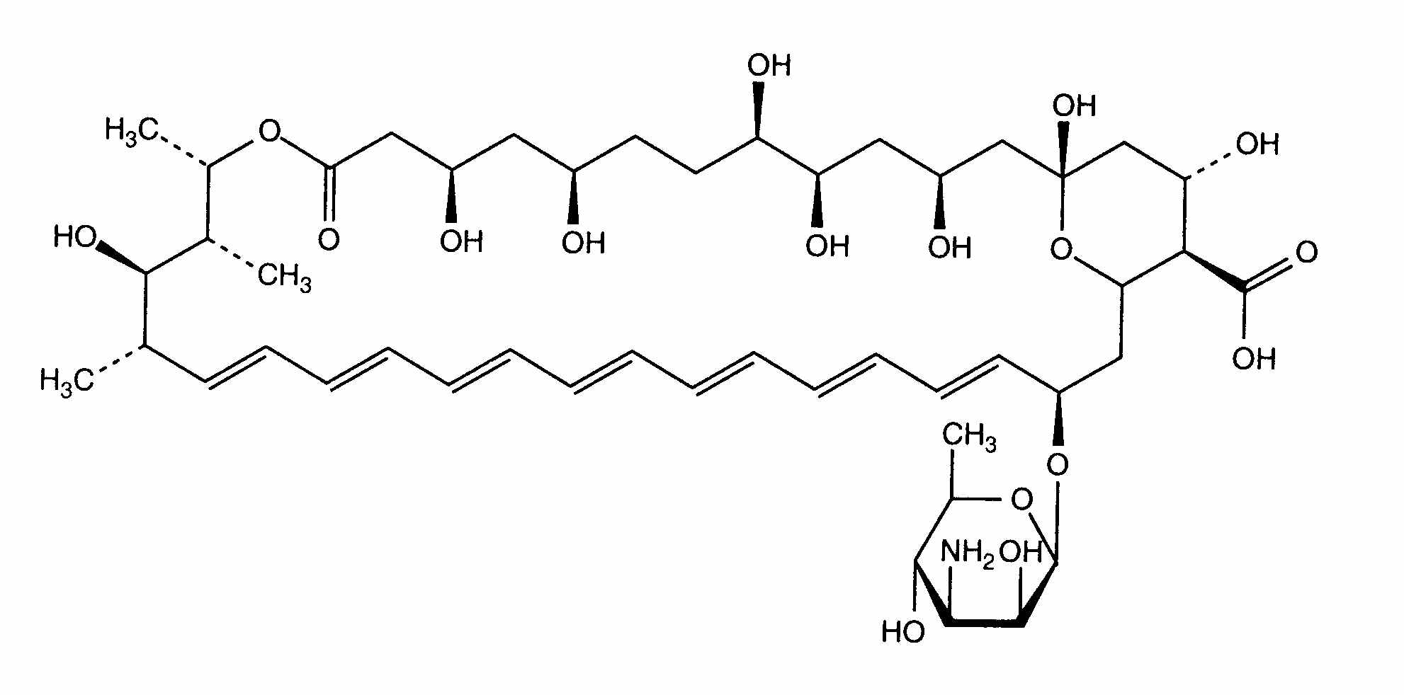
Antimycoticum   Amphotericin B liposomale  
injecteerbaar geneesmiddel
Oogwater
Stabiliteit in oplossing Stabiliteit in mengsels Factoren die de stabiliteit beïnvloeden Verenigbaarheden Toedieningswijze Literatuur pdf
Liposomen   Molecuulstructuur  

Merknamen in verschillende landen   Merknamen in verschillende landen     

Handelsnamen zijn slechts een indicatie; de samenstelling van hulpstoffen kan per land variëren afhankelijk van de fabrikant

Ambisome Argentinië, België, Brazilië, Canada, Chili, Denemarken, Duitsland, Egypte, Finland, Frankrijk, Griekenland, Groot Britannië, Hongarije, Ierland, IJsland, Indië, Italië, Japan, Luxemburg, Nederland, nieuw Zeeland, Noorwegen, Oostenrijk, Peru, Polen, Portugal, Saudi-Arabië, Spanje, Thailand, Turkije, USA, Verenigde Arabische Emiraten, Zweden, Zwitserland
Stabiliteit in oplossing   injecteerbaar geneesmiddel   Stabiliteit in oplossing : Amphotericin B liposomale     
Verpakking Oplosmiddel Concentratie Temperatuur Bewaring Duur van de stabiliteit Literatuur
Glas Water voor injectie 4 mg/ml 23-27°C Buiten invloed van licht
24 Uur
3398
Stabiliteitsgegevens van de fabrikant

Glas Water voor injectie 4 mg/ml 4°C Niet gespecificeerd
7 Dag
3398
Stabiliteitsgegevens van de fabrikant

Glas Water voor injectie 4 mg/ml 4°C Niet gespecificeerd
7 Dag
4821
Bewijsniveau D

Polypropyleen (PP) Water voor injectie 4 mg/ml 4°C Niet gespecificeerd
7 Dag
3398
Stabiliteitsgegevens van de fabrikant

Niet gespecificeerd Glucose 5% 0,2 & 2 mg/ml 4°C Niet gespecificeerd
7 Dag
4821
Bewijsniveau D

Niet gespecificeerd Glucose 5% 0,2 >> 2 mg/ml 2-8°C Niet gespecificeerd
7 Dag
3398
Stabiliteitsgegevens van de fabrikant

Niet gespecificeerd Glucose 5% 0,2 >> 2 mg/ml 23-27°C Niet gespecificeerd
72 Uur
3398
Stabiliteitsgegevens van de fabrikant


  Mentions Légales