Ultimo aggiornamento :
18/03/2026
Antimicotico   Amphotericin B liposomale  
Iniezione
Collirio
Stabilità in soluzione Stabilità in miscela Fattori che influenzano la stabilità Compatibilità metodo di iniezione Bibliografia pdf
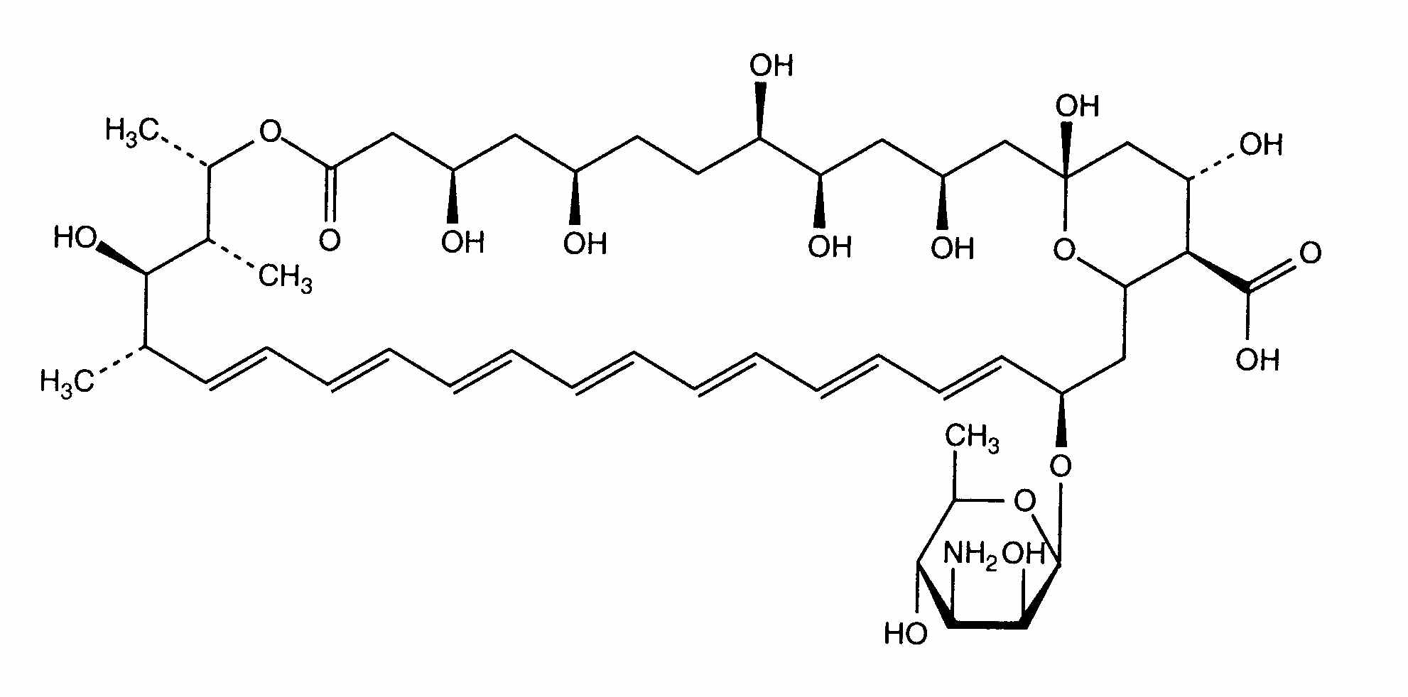
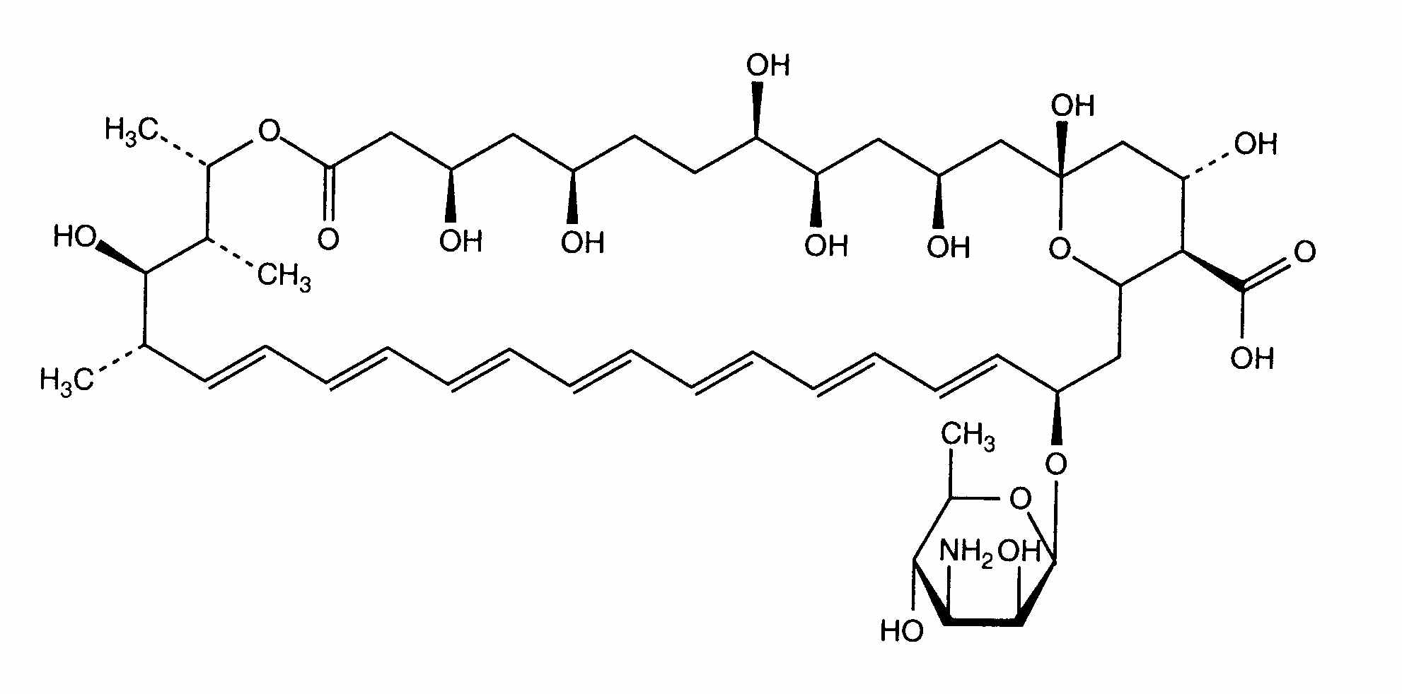
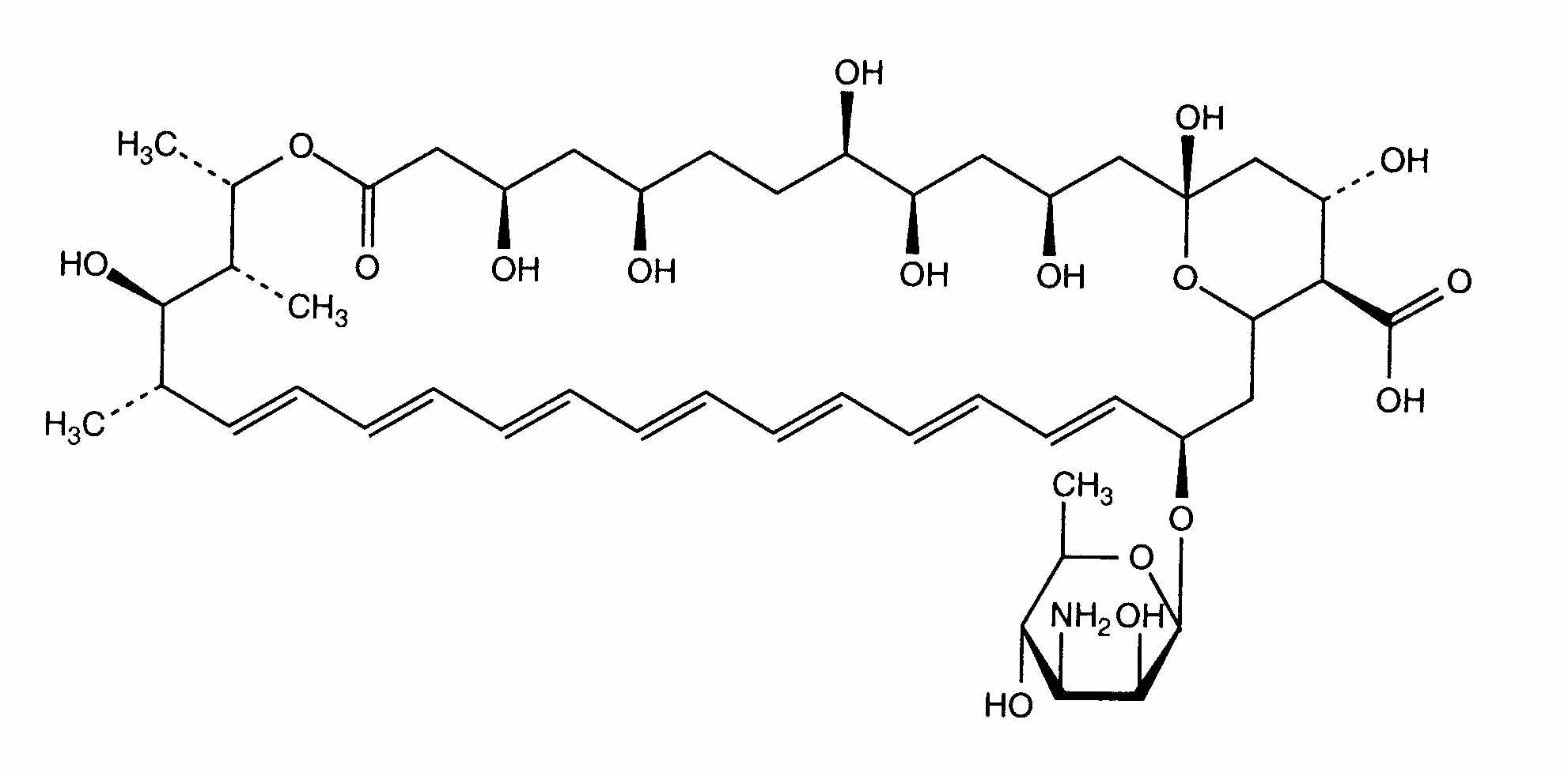
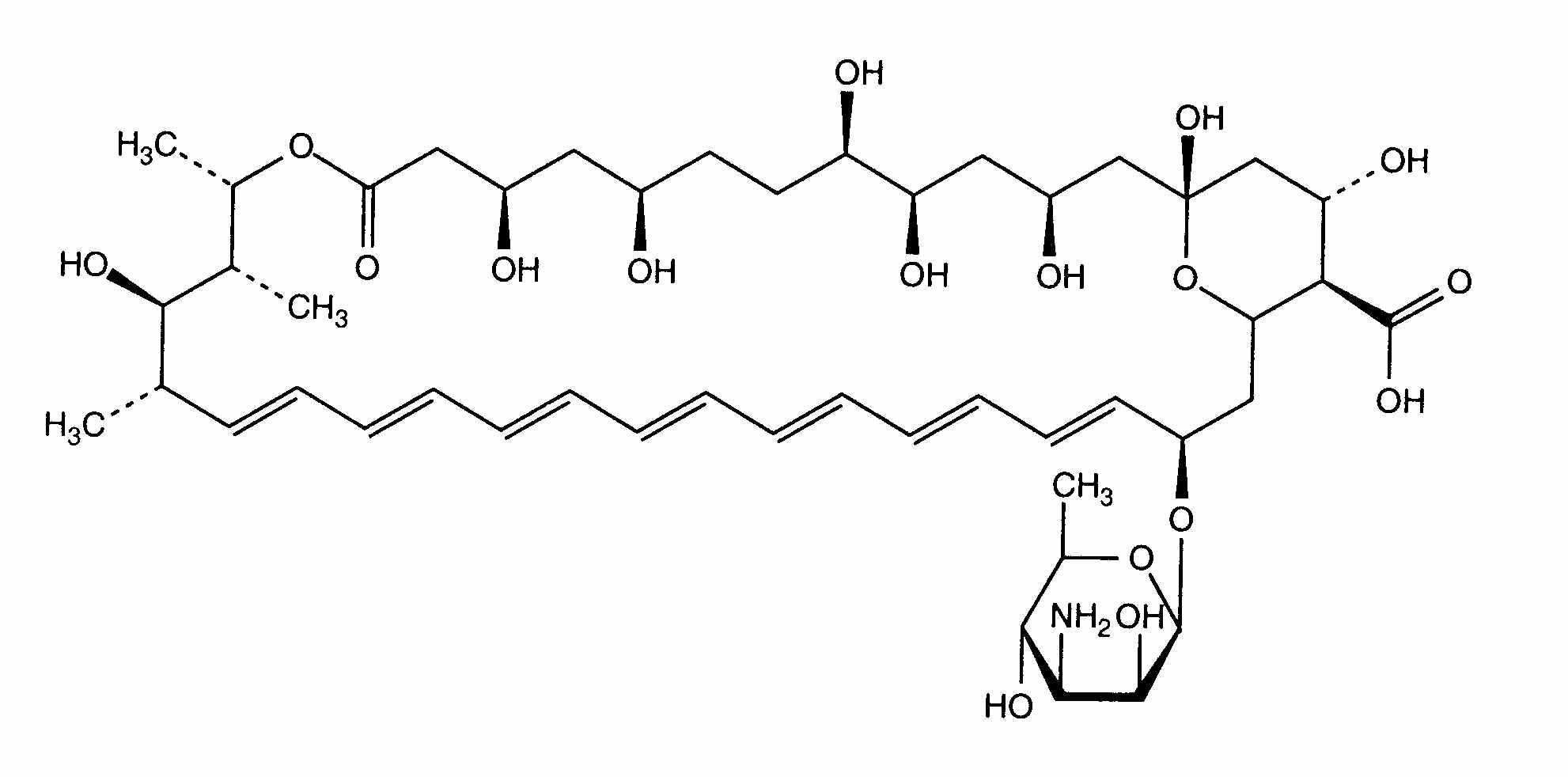
Liposoma   Struttura chimica  

Nome commerciale   Nome commerciale     

Trade names are indicative and excipients composition can be different depending on the country and manufacturers

Ambisome Arabia Saudita, Argentina, Austria, Belgio, Brasile, Canada, Chile, Danimarca, Egitto, Emirati Arabi Uniti, Finlandia, Francia, Germania, Giappone, Gran Bretagna, Grecia, India, Irlanda, Islanda, Italia, Lussemburgo, Norvegia, nuova Zelanda, Paesi Bassi, Perù, Polonia, Portogallo, Spagna, Stati Uniti d’America, Svezia, Svizzera, Tailandia, Turchia, Ungheria
Stabilità in soluzione   Iniezione   Stabilità in soluzione : Amphotericin B liposomale     
contenitore Solvente Concentrazione Temperatura Conservazione Durata della stabilità Bibliografia
Vetro Acqua per preparato iniettabile 4 mg/ml 23-27°C Al riparo dalla luce
24 Ora
3398
Dati di stabilità del produttore

Vetro Acqua per preparato iniettabile 4 mg/ml 4°C Non precisata
7 Giorno
3398
Dati di stabilità del produttore

Vetro Acqua per preparato iniettabile 4 mg/ml 4°C Non precisata
7 Giorno
4821
Livello di evidenza D

Polipropilene Acqua per preparato iniettabile 4 mg/ml 4°C Non precisata
7 Giorno
3398
Dati di stabilità del produttore

Non precisato Glucosio 5% 0,2 & 2 mg/ml 4°C Non precisata
7 Giorno
4821
Livello di evidenza D

Non precisato Glucosio 5% 0,2 >> 2 mg/ml 2-8°C Non precisata
7 Giorno
3398
Dati di stabilità del produttore

Non precisato Glucosio 5% 0,2 >> 2 mg/ml 23-27°C Non precisata
72 Ora
3398
Dati di stabilità del produttore


  Mentions Légales