Última actualización :
18/03/2026
Antibiótico   Penicillin G sodium  
Inyectables
Estabilidad en solucion Estabilidad en mezcla Factores que influyen sobre la estabilidad Compatibilidades método de inyección Bibliografía pdf
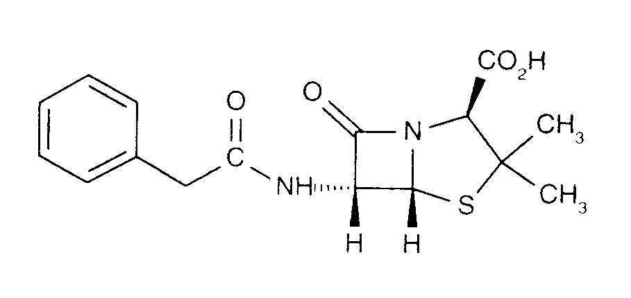
   Estructura química  

Nombre comercial   Nombre comercial     

Los nombres comerciales son orientativos y los excipientes de la formulación pueden ser distintos dependiendo del país y del laboratorio fabricante.

Benapen Brasil
Bencilpenicilina Chile, Ecuador, Marruecos
Benpen Australia, Nueva Zelanda
Bensylpenicillin Suecia
Benzapen Irán
Benzatec Sudafrica
Benzatron Brasil
Benzylpenicillin Dinamarca, Egipto, Finlandia, Noruega, Suecia
Benzylpenicilline Túnez
Biconcillina Ecuador
Crystapen Canadá, Gran Bretaña, Irlanda
Declin México
Fortepen Arabia Saudita
Geepenil Finlandia
Natrium penicillin G Países Bajos
Novopen Sudafrica
Pebencil Venezuela
Penbendox México
Penibiot España
Penicillin Noruega
Penicillina G sodica Argentina, Chile, Colombia, Ecuador, Portugal
Penilevel España
Sodiopen España
Unicillina España
Estabilidad en solucion   Inyectables   Estabilidad en solucion : Penicillin G sodium     
Envase Solvente Concentración Temperatura Conservación Duración de la estabilidad Bibliografía
Vidrio Agua para preparación inyectable 0.01 MUI/ml 2-8°C A cubierto de la luz
7 Día
4922
Nivel de evidencia D

Vidrio NaCl 0.9% + fenol 0.4% 0.01 MUI/ml 2-8°C A cubierto de la luz
2 Día
4922
Nivel de evidencia D

Cloruro de polivinilo Agua para preparación inyectable 0,1 & 0,2 MUI/ml 25°C No precisada
3 Día
13
Nivel de evidencia B

Cloruro de polivinilo Agua para preparación inyectable 0,18 MUI/ml -20°C A cubierto de la luz
30 Día
440
Nivel de evidencia D

Cloruro de polivinilo Cloruro de sodio 0,9% ?? MUI/ml 5°C A cubierto de la luz
2 Día
1263
Nivel de evidencia B

Cloruro de polivinilo Cloruro de sodio 0,9% 0.0025 MUI/ml 5°C No precisada
21 Día
3648
Nivel de evidencia B+

Cloruro de polivinilo Cloruro de sodio 0,9% 0.05 MUI/ml 5°C No precisada
21 Día
3648
Nivel de evidencia B+

Cloruro de polivinilo Glucosa 5% 0,04 MUI/ml -20°C A cubierto de la luz
39 Día
1241
Nivel de evidencia B

Cloruro de polivinilo Glucosa 5% 0.0025 MUI/ml 5°C No precisada
21 Día
3648
Nivel de evidencia B+

Cloruro de polivinilo Glucosa 5% 0.05 MUI/ml 5°C No precisada
21 Día
3648
Nivel de evidencia B+

jeringa polipropileno Agua para preparación inyectable 0.01 MUI/ml 2-8°C A cubierto de la luz
7 Día
4922
Nivel de evidencia D

jeringa polipropileno NaCl 0.9% + fenol 0.4% 0.01 MUI/ml 2-8°C A cubierto de la luz
2 Día
4922
Nivel de evidencia D

Elastómero de poliisopreno Cloruro de sodio 0,9% 0.0025 MUI/ml 5°C No precisada
21 Día
3648
Nivel de evidencia B+

Elastómero de poliisopreno Cloruro de sodio 0,9% 0.05 MUI/ml 5°C No precisada
21 Día
3648
Nivel de evidencia B+

Elastómero de poliisopreno Glucosa 5% 0.0025 MUI/ml 5°C No precisada
21 Día
3648
Nivel de evidencia B+

Elastómero de poliisopreno Glucosa 5% 0.05 MUI/ml 5°C No precisada
21 Día
3648
Nivel de evidencia B+

Elastómero de poliisopreno NaCl 0.9% citrato tampón 0.3% pH7 0.025 & 0.1 MUI/ml 2-8°C A cubierto de la luz
6 Día
4590
Nivel de evidencia A

Elastómero de poliisopreno NaCl 0.9% citrato tampón 0.3% pH7 0.025 & 0.1 MUI/ml 37°C A cubierto de la luz
24 Hora
4590
Nivel de evidencia A

Elastómero de silicona NaCl 0.9% citrato tampón 0.3% pH7 10 MUI/ml 2-8°C No precisada
7 Día
4874
Nivel de evidencia D

Elastómero de silicona NaCl 0.9% citrato tampón 0.3% pH7 20 MUI/ml 2-8°C No precisada
7 Día
4874
Nivel de evidencia D

Elastómero de silicona NaCl 0.9% citrato tampón 0.3% pH7 40 MUI/ml 2-8°C No precisada
7 Día
4874
Nivel de evidencia D

No precisado Cloruro de sodio 0,9% 0,13 MUI/ml 21°C-22°C No precisada
13 Hora
2056
Nivel de evidencia D

No precisado Cloruro de sodio 0,9% 0,13 MUI/ml 26°C No precisada
12 Hora
2056
Nivel de evidencia D

No precisado Cloruro de sodio 0,9% 0,13 MUI/ml 3-5°C No precisada
6 Día
2056
Nivel de evidencia D

No precisado Cloruro de sodio 0,9% 0,13 MUI/ml 36°C No precisada
5 Hora
2056
Nivel de evidencia D


  Mentions Légales