Son güncelleme :
18/03/2026
Antibiyotik   Penicillin G sodium  
Enjeksiyon
Çözeltilerin stabilitesi Karışımlardaki stabilitesi Stabiliteyi etkileyen faktörler Uyumluluk Uygulama yöntemi Kaynaklar pdf
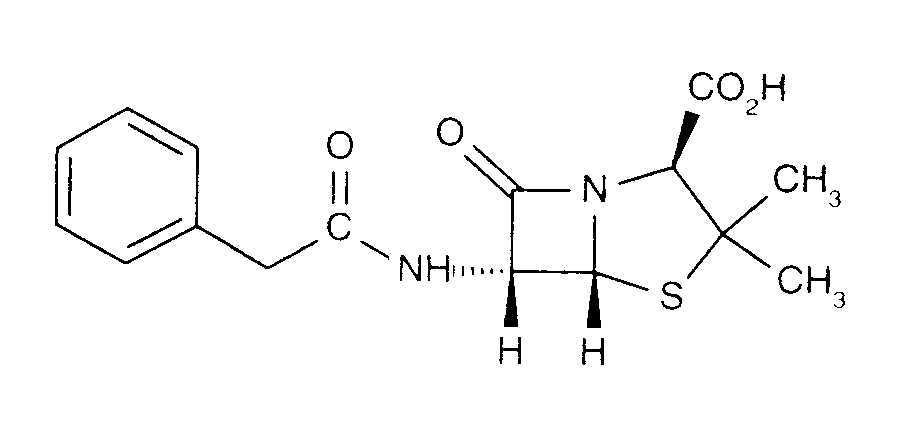
   Kimyasal yapı   

Ticari isim   Ticari isim     

Trade names are indicative and excipients composition can be different depending on the country and manufacturers

Benapen Brezilya
Bencilpenicilina Ekvador, Peru, Şili
Benpen Avustralya, yeni Zelanda
Bensylpenicillin İsveç
Benzapen İran
Benzatec Güney Afrika Cumhuriyeti
Benzatron Brezilya
Benzylpenicillin Danimarka, Finlandiya, İsveç, Mısır, Norveç
Benzylpenicilline Tunus
Biconcillina Ekvador
Crystapen Büyük Britanya, İrlanda, Kanada
Declin Meksika
Fortepen Suudi Arabistan
Geepenil Finlandiya
Natrium penicillin G Hollanda
Novopen Güney Afrika Cumhuriyeti
Pebencil Venezuela
Penbendox Meksika
Penibiot İspanya
Penicillin Norveç
Penicillina G sodica Arjantin, Ekvador, Kolombiya, Portekiz, Şili
Penilevel İspanya
Sodiopen İspanya
Unicillina İspanya
Çözeltilerin stabilitesi   Enjeksiyon    Çözeltilerin stabilitesi : Penicillin G sodium     
Saklama kabı Çözücü Konsantrasyon Isı Saklama    Stabilite süresi Kaynaklar
Cam Enjeksiyonluk su 0.01 MUI/ml 2-8°C Işıktan koruyunuz
7 Gün
4922
Kanıt düzeyi D

Cam NaCl 0.9% + fenol 0.4% 0.01 MUI/ml 2-8°C Işıktan koruyunuz
2 Gün
4922
Kanıt düzeyi D

Polivinil klorür Enjeksiyonluk su 0,1 & 0,2 MUI/ml 25°C Belirtilmemiş
3 Gün
13
Kanıt düzeyi B

Polivinil klorür Enjeksiyonluk su 0,18 MUI/ml -20°C Işıktan koruyunuz
30 Gün
440
Kanıt düzeyi D

Polivinil klorür Sodyum klorür % 0,9 ?? MUI/ml 5°C Işıktan koruyunuz
2 Gün
1263
Kanıt düzeyi B

Polivinil klorür Sodyum klorür % 0,9 0.0025 MUI/ml 5°C Belirtilmemiş
21 Gün
3648
Kanıt düzeyi B+

Polivinil klorür Sodyum klorür % 0,9 0.05 MUI/ml 5°C Belirtilmemiş
21 Gün
3648
Kanıt düzeyi B+

Polivinil klorür Glukoz %5 0,04 MUI/ml -20°C Işıktan koruyunuz
39 Gün
1241
Kanıt düzeyi B

Polivinil klorür Glukoz %5 0.0025 MUI/ml 5°C Belirtilmemiş
21 Gün
3648
Kanıt düzeyi B+

Polivinil klorür Glukoz %5 0.05 MUI/ml 5°C Belirtilmemiş
21 Gün
3648
Kanıt düzeyi B+

Şırınga polipropilen Enjeksiyonluk su 0.01 MUI/ml 2-8°C Işıktan koruyunuz
7 Gün
4922
Kanıt düzeyi D

Şırınga polipropilen NaCl 0.9% + fenol 0.4% 0.01 MUI/ml 2-8°C Işıktan koruyunuz
2 Gün
4922
Kanıt düzeyi D

poliizopren elastomer Sodyum klorür % 0,9 0.0025 MUI/ml 5°C Belirtilmemiş
21 Gün
3648
Kanıt düzeyi B+

poliizopren elastomer Sodyum klorür % 0,9 0.05 MUI/ml 5°C Belirtilmemiş
21 Gün
3648
Kanıt düzeyi B+

poliizopren elastomer Glukoz %5 0.0025 MUI/ml 5°C Belirtilmemiş
21 Gün
3648
Kanıt düzeyi B+

poliizopren elastomer Glukoz %5 0.05 MUI/ml 5°C Belirtilmemiş
21 Gün
3648
Kanıt düzeyi B+

poliizopren elastomer NaCl% 0.9 tampon sitrat% 0.3 pH7 0.025 & 0.1 MUI/ml 2-8°C Işıktan koruyunuz
6 Gün
4590
Kanıt düzeyi A

poliizopren elastomer NaCl% 0.9 tampon sitrat% 0.3 pH7 0.025 & 0.1 MUI/ml 37°C Işıktan koruyunuz
24 Zaman
4590
Kanıt düzeyi A

Silikon elastomer NaCl% 0.9 tampon sitrat% 0.3 pH7 10 MUI/ml 2-8°C Belirtilmemiş
7 Gün
4874
Kanıt düzeyi D

Silikon elastomer NaCl% 0.9 tampon sitrat% 0.3 pH7 20 MUI/ml 2-8°C Belirtilmemiş
7 Gün
4874
Kanıt düzeyi D

Silikon elastomer NaCl% 0.9 tampon sitrat% 0.3 pH7 40 MUI/ml 2-8°C Belirtilmemiş
7 Gün
4874
Kanıt düzeyi D

Belirtilmemiş Sodyum klorür % 0,9 0,13 MUI/ml 21°C-22°C Belirtilmemiş
13 Zaman
2056
Kanıt düzeyi D

Belirtilmemiş Sodyum klorür % 0,9 0,13 MUI/ml 26°C Belirtilmemiş
12 Zaman
2056
Kanıt düzeyi D

Belirtilmemiş Sodyum klorür % 0,9 0,13 MUI/ml 3-5°C Belirtilmemiş
6 Gün
2056
Kanıt düzeyi D

Belirtilmemiş Sodyum klorür % 0,9 0,13 MUI/ml 36°C Belirtilmemiş
5 Zaman
2056
Kanıt düzeyi D


  Mentions Légales