Ultimele actualizari :
18/03/2026
Antibiotic   Penicillin G sodium  
Injectabil
Stabilitatea in solutie Stabilitatea in amestec Factorii care influenteaza stabilitatea Compatibilitate Microunde Bibliografie pdf
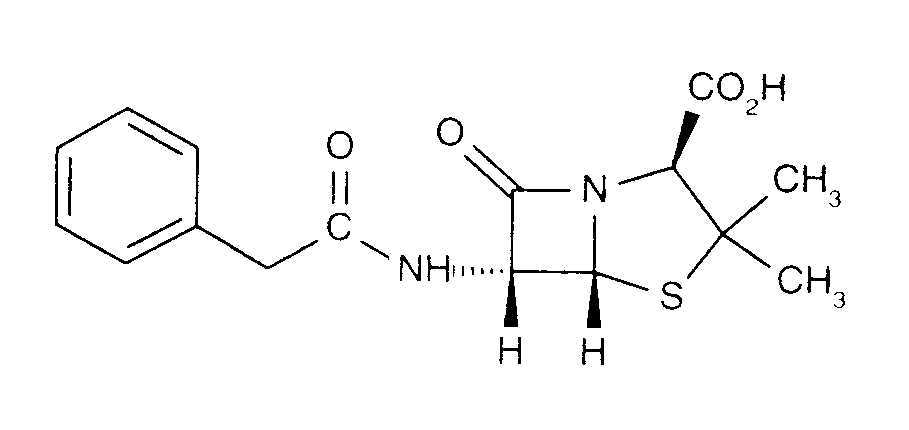
   Formula chimica  

Denumirea comerciala   Denumirea comerciala     

Trade names are indicative and excipients composition can be different depending on the country and manufacturers

Benapen Brazilia
Bencilpenicilina Chilli, Ecuador, Peru
Benpen Australia, noua Zeelandă
Bensylpenicillin Suedia
Benzapen Iran
Benzatec Africa de Sud
Benzatron Brazilia
Benzylpenicillin Danemarca, Egipt, Finlanda, Norvegia, Suedia
Benzylpenicilline Tunisia
Biconcillina Ecuador
Crystapen Canada, Irlanda, Marea Britanie
Declin Mexic
Fortepen Arabia Saudita
Geepenil Finlanda
Natrium penicillin G Olanda
Novopen Africa de Sud
Pebencil Venezuela
Penbendox Mexic
Penibiot Spania
Penicillin Norvegia
Penicillina G sodica Argentina, Chilli, Columbia, Ecuador, Portugalia
Penilevel Spania
Sodiopen Spania
Unicillina Spania
Stabilitatea in solutie   Injectabil   Stabilitatea in solutie : Penicillin G sodium     
Continut Solvent Concentratie Temperatura Conservare Durata stabilității Bibiografie
sticla apa pentru preparate injectabile 0.01 MUI/ml 2-8°C Ferit de lumina
7 Ziua
4922
Nivel de evidență D

sticla NaCl 0.9% + fenol 0.4% 0.01 MUI/ml 2-8°C Ferit de lumina
2 Ziua
4922
Nivel de evidență D

clorura de polivinil apa pentru preparate injectabile 0,1 & 0,2 MUI/ml 25°C Neprecizat
3 Ziua
13
Nivel de evidență B

clorura de polivinil apa pentru preparate injectabile 0,18 MUI/ml -20°C Ferit de lumina
30 Ziua
440
Nivel de evidență D

clorura de polivinil clorura de sodiu 0,9% ?? MUI/ml 5°C Ferit de lumina
2 Ziua
1263
Nivel de evidență B

clorura de polivinil clorura de sodiu 0,9% 0.0025 MUI/ml 5°C Neprecizat
21 Ziua
3648
Nivel de evidență B+

clorura de polivinil clorura de sodiu 0,9% 0.05 MUI/ml 5°C Neprecizat
21 Ziua
3648
Nivel de evidență B+

clorura de polivinil Glucoza 5% 0,04 MUI/ml -20°C Ferit de lumina
39 Ziua
1241
Nivel de evidență B

clorura de polivinil Glucoza 5% 0.0025 MUI/ml 5°C Neprecizat
21 Ziua
3648
Nivel de evidență B+

clorura de polivinil Glucoza 5% 0.05 MUI/ml 5°C Neprecizat
21 Ziua
3648
Nivel de evidență B+

seringă polipropileno apa pentru preparate injectabile 0.01 MUI/ml 2-8°C Ferit de lumina
7 Ziua
4922
Nivel de evidență D

seringă polipropileno NaCl 0.9% + fenol 0.4% 0.01 MUI/ml 2-8°C Ferit de lumina
2 Ziua
4922
Nivel de evidență D

Elastomer poliizoprenic clorura de sodiu 0,9% 0.0025 MUI/ml 5°C Neprecizat
21 Ziua
3648
Nivel de evidență B+

Elastomer poliizoprenic clorura de sodiu 0,9% 0.05 MUI/ml 5°C Neprecizat
21 Ziua
3648
Nivel de evidență B+

Elastomer poliizoprenic Glucoza 5% 0.0025 MUI/ml 5°C Neprecizat
21 Ziua
3648
Nivel de evidență B+

Elastomer poliizoprenic Glucoza 5% 0.05 MUI/ml 5°C Neprecizat
21 Ziua
3648
Nivel de evidență B+

Elastomer poliizoprenic NaCl 0,9% citrat de tampon 0,3% pH7 0.025 & 0.1 MUI/ml 2-8°C Ferit de lumina
6 Ziua
4590
Nivel de evidență A

Elastomer poliizoprenic NaCl 0,9% citrat de tampon 0,3% pH7 0.025 & 0.1 MUI/ml 37°C Ferit de lumina
24 Ora
4590
Nivel de evidență A

Elastomer siliconic NaCl 0,9% citrat de tampon 0,3% pH7 10 MUI/ml 2-8°C Neprecizat
7 Ziua
4874
Nivel de evidență D

Elastomer siliconic NaCl 0,9% citrat de tampon 0,3% pH7 20 MUI/ml 2-8°C Neprecizat
7 Ziua
4874
Nivel de evidență D

Elastomer siliconic NaCl 0,9% citrat de tampon 0,3% pH7 40 MUI/ml 2-8°C Neprecizat
7 Ziua
4874
Nivel de evidență D

neprecizat clorura de sodiu 0,9% 0,13 MUI/ml 21°C-22°C Neprecizat
13 Ora
2056
Nivel de evidență D

neprecizat clorura de sodiu 0,9% 0,13 MUI/ml 26°C Neprecizat
12 Ora
2056
Nivel de evidență D

neprecizat clorura de sodiu 0,9% 0,13 MUI/ml 3-5°C Neprecizat
6 Ziua
2056
Nivel de evidență D

neprecizat clorura de sodiu 0,9% 0,13 MUI/ml 36°C Neprecizat
5 Ora
2056
Nivel de evidență D


  Mentions Légales