Última actualização :
18/03/2026
antibiótico   Penicillin G sodium  
injetável
Estabilidade em soluções simples Estabilidade em misturas Factores que afectam a sua estabilidade Compatibilidade Método de administração Bibliografía pdf
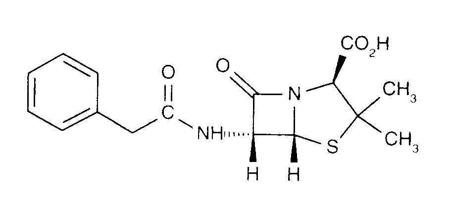
   estrutura química  

Nomes comerciais nos diversos países   Nomes comerciais nos diversos países     

OS NOMES COMERCIAIS SÃO INDICATIVOS E OS EXCIPIENTES DA FORMULAÇÃO PODEM SER DIFERENTES CONFORME O PAÍS E FABRICANTE.

Benapen Brasil
Bencilpenicilina Chilli, Equator, Peru
Benpen Australia, nova Zelândia
Bensylpenicillin Suècia
Benzapen Irã
Benzatec Africa do sul
Benzatron Brasil
Benzylpenicillin Dinamarca, Egipto, Finlandia, Noruega, Suècia
Benzylpenicilline Tunísia
Biconcillina Equator
Crystapen Canadá, Gran-bretanha, Irlanda
Declin México
Fortepen Arábia Saudita
Geepenil Finlandia
Natrium penicillin G Países Baixos
Novopen Africa do sul
Pebencil Venezuela
Penbendox México
Penibiot Espanha
Penicillin Noruega
Penicillina G sodica Argentina, Chilli, Colômbia, Equator, Portugal
Penilevel Espanha
Sodiopen Espanha
Unicillina Espanha
Estabilidade em soluções simples   injetável   Estabilidade em soluções simples : Penicillin G sodium     
Embalagem Solvente concentração temperatura conservação Duração da estabilidade Bibliografia
vidro Agua para injectaveis 0.01 MUI/ml 2-8°C ao abrigo da luz
7 dia
4922
Nível de evidência D

vidro NaCl 0.9% + fenol 0.4% 0.01 MUI/ml 2-8°C ao abrigo da luz
2 dia
4922
Nível de evidência D

Cloreto de polivinilo Agua para injectaveis 0,1 & 0,2 MUI/ml 25°C no especificado
3 dia
13
Nível de evidência B

Cloreto de polivinilo Agua para injectaveis 0,18 MUI/ml -20°C ao abrigo da luz
30 dia
440
Nível de evidência D

Cloreto de polivinilo cloreto de sódio 0,9% ?? MUI/ml 5°C ao abrigo da luz
2 dia
1263
Nível de evidência B

Cloreto de polivinilo cloreto de sódio 0,9% 0.0025 MUI/ml 5°C no especificado
21 dia
3648
Nível de evidência B+

Cloreto de polivinilo cloreto de sódio 0,9% 0.05 MUI/ml 5°C no especificado
21 dia
3648
Nível de evidência B+

Cloreto de polivinilo Glucose 5% 0,04 MUI/ml -20°C ao abrigo da luz
39 dia
1241
Nível de evidência B

Cloreto de polivinilo Glucose 5% 0.0025 MUI/ml 5°C no especificado
21 dia
3648
Nível de evidência B+

Cloreto de polivinilo Glucose 5% 0.05 MUI/ml 5°C no especificado
21 dia
3648
Nível de evidência B+

seringa polipropylen Agua para injectaveis 0.01 MUI/ml 2-8°C ao abrigo da luz
7 dia
4922
Nível de evidência D

seringa polipropylen NaCl 0.9% + fenol 0.4% 0.01 MUI/ml 2-8°C ao abrigo da luz
2 dia
4922
Nível de evidência D

Elastômero de poliisopreno cloreto de sódio 0,9% 0.0025 MUI/ml 5°C no especificado
21 dia
3648
Nível de evidência B+

Elastômero de poliisopreno cloreto de sódio 0,9% 0.05 MUI/ml 5°C no especificado
21 dia
3648
Nível de evidência B+

Elastômero de poliisopreno Glucose 5% 0.0025 MUI/ml 5°C no especificado
21 dia
3648
Nível de evidência B+

Elastômero de poliisopreno Glucose 5% 0.05 MUI/ml 5°C no especificado
21 dia
3648
Nível de evidência B+

Elastômero de poliisopreno NaCl 0,9% tampão citrato 0,3% pH7 0.025 & 0.1 MUI/ml 2-8°C ao abrigo da luz
6 dia
4590
Nível de evidência A

Elastômero de poliisopreno NaCl 0,9% tampão citrato 0,3% pH7 0.025 & 0.1 MUI/ml 37°C ao abrigo da luz
24 hora
4590
Nível de evidência A

Elastômero de silicone NaCl 0,9% tampão citrato 0,3% pH7 10 MUI/ml 2-8°C no especificado
7 dia
4874
Nível de evidência D

Elastômero de silicone NaCl 0,9% tampão citrato 0,3% pH7 20 MUI/ml 2-8°C no especificado
7 dia
4874
Nível de evidência D

Elastômero de silicone NaCl 0,9% tampão citrato 0,3% pH7 40 MUI/ml 2-8°C no especificado
7 dia
4874
Nível de evidência D

no especificado cloreto de sódio 0,9% 0,13 MUI/ml 21°C-22°C no especificado
13 hora
2056
Nível de evidência D

no especificado cloreto de sódio 0,9% 0,13 MUI/ml 26°C no especificado
12 hora
2056
Nível de evidência D

no especificado cloreto de sódio 0,9% 0,13 MUI/ml 3-5°C no especificado
6 dia
2056
Nível de evidência D

no especificado cloreto de sódio 0,9% 0,13 MUI/ml 36°C no especificado
5 hora
2056
Nível de evidência D


  Mentions Légales