Zadnji put ažurirano :
18/03/2026
antibiotik   Penicillin G sodium  
injekcija
Stabilizacija rješenja Stabilnost mješavine Stabilizacijski faktor Kompatibilnosti način davanja lijeka Bibliografija pdf
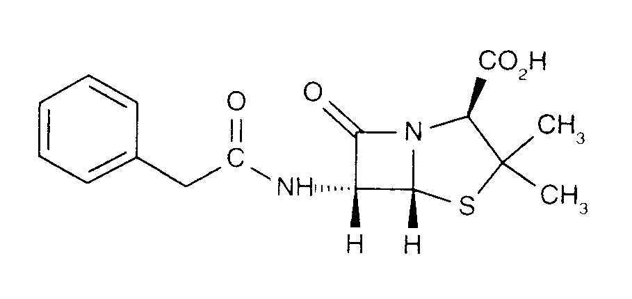
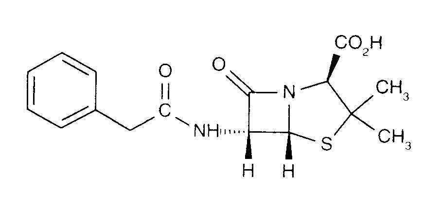
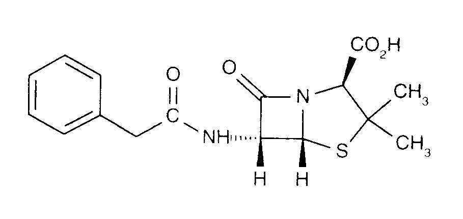
   Kemijska struktura  

Nekomercijalni   Nekomercijalni     

Zaštićeni nazivi su indikativni i sastav ekscipijensa može biti različit ovisno o državi i laboratorijima

Benapen Brazil
Bencilpenicilina Čile, Ekvador, Peru
Benpen Australija, novi Zeland
Bensylpenicillin Švedska
Benzapen Iran
Benzatec Južna Afrika
Benzatron Brazil
Benzylpenicillin Danska, Egipat, Finska, Norveška, Švedska
Benzylpenicilline Tunis
Biconcillina Ekvador
Crystapen Irska, Kanada, Velika Britanija
Declin Meksiko
Fortepen Saudijska Arabija
Geepenil Finska
Natrium penicillin G Nizozemska
Novopen Južna Afrika
Pebencil Venecuela
Penbendox Meksiko
Penibiot Španjolska
Penicillin Norveška
Penicillina G sodica Argentina, Čile, Ekvador, Kolumbija, Portugal
Penilevel Španjolska
Sodiopen Španjolska
Unicillina Španjolska
Stabilizacija rješenja   injekcija   Stabilizacija rješenja : Penicillin G sodium     
Kontejner sredstvo za rastapanje koncentracija temperatura Konzerviranje Trajanje stabilnosti Bibliografija
čaša čista voda za injektiranje 0.01 MUI/ml 2-8°C Zaštićeno od svjetlosti
7 dan
4922
Razina dokaza D

čaša NaCl 0.9% + fenol 0.4% 0.01 MUI/ml 2-8°C Zaštićeno od svjetlosti
2 dan
4922
Razina dokaza D

polivinilklorid čista voda za injektiranje 0,1 & 0,2 MUI/ml 25°C nespecifičan
3 dan
13
Razina dokaza B

polivinilklorid čista voda za injektiranje 0,18 MUI/ml -20°C Zaštićeno od svjetlosti
30 dan
440
Razina dokaza D

polivinilklorid natrijumkorid 0,9% ?? MUI/ml 5°C Zaštićeno od svjetlosti
2 dan
1263
Razina dokaza B

polivinilklorid natrijumkorid 0,9% 0.0025 MUI/ml 5°C nespecifičan
21 dan
3648
Razina dokaza B+

polivinilklorid natrijumkorid 0,9% 0.05 MUI/ml 5°C nespecifičan
21 dan
3648
Razina dokaza B+

polivinilklorid glukoza 5% 0,04 MUI/ml -20°C Zaštićeno od svjetlosti
39 dan
1241
Razina dokaza B

polivinilklorid glukoza 5% 0.0025 MUI/ml 5°C nespecifičan
21 dan
3648
Razina dokaza B+

polivinilklorid glukoza 5% 0.05 MUI/ml 5°C nespecifičan
21 dan
3648
Razina dokaza B+

špric polipropilen čista voda za injektiranje 0.01 MUI/ml 2-8°C Zaštićeno od svjetlosti
7 dan
4922
Razina dokaza D

špric polipropilen NaCl 0.9% + fenol 0.4% 0.01 MUI/ml 2-8°C Zaštićeno od svjetlosti
2 dan
4922
Razina dokaza D

Poliizoprenski elastomer natrijumkorid 0,9% 0.0025 MUI/ml 5°C nespecifičan
21 dan
3648
Razina dokaza B+

Poliizoprenski elastomer natrijumkorid 0,9% 0.05 MUI/ml 5°C nespecifičan
21 dan
3648
Razina dokaza B+

Poliizoprenski elastomer glukoza 5% 0.0025 MUI/ml 5°C nespecifičan
21 dan
3648
Razina dokaza B+

Poliizoprenski elastomer glukoza 5% 0.05 MUI/ml 5°C nespecifičan
21 dan
3648
Razina dokaza B+

Poliizoprenski elastomer NaCl 0,9% citratni pufer 0,3% pH7 0.025 & 0.1 MUI/ml 2-8°C Zaštićeno od svjetlosti
6 dan
4590
Razina dokaza A

Poliizoprenski elastomer NaCl 0,9% citratni pufer 0,3% pH7 0.025 & 0.1 MUI/ml 37°C Zaštićeno od svjetlosti
24 sat
4590
Razina dokaza A

Silikonski elastomer NaCl 0,9% citratni pufer 0,3% pH7 10 MUI/ml 2-8°C nespecifičan
7 dan
4874
Razina dokaza D

Silikonski elastomer NaCl 0,9% citratni pufer 0,3% pH7 20 MUI/ml 2-8°C nespecifičan
7 dan
4874
Razina dokaza D

Silikonski elastomer NaCl 0,9% citratni pufer 0,3% pH7 40 MUI/ml 2-8°C nespecifičan
7 dan
4874
Razina dokaza D

nespecifičan natrijumkorid 0,9% 0,13 MUI/ml 21°C-22°C nespecifičan
13 sat
2056
Razina dokaza D

nespecifičan natrijumkorid 0,9% 0,13 MUI/ml 26°C nespecifičan
12 sat
2056
Razina dokaza D

nespecifičan natrijumkorid 0,9% 0,13 MUI/ml 3-5°C nespecifičan
6 dan
2056
Razina dokaza D

nespecifičan natrijumkorid 0,9% 0,13 MUI/ml 36°C nespecifičan
5 sat
2056
Razina dokaza D


  Mentions Légales