Ultimo aggiornamento :
18/03/2026
Antibiotico   Penicillin G sodium  
Iniezione
Stabilità in soluzione Stabilità in miscela Fattori che influenzano la stabilità Compatibilità metodo di iniezione Bibliografia pdf
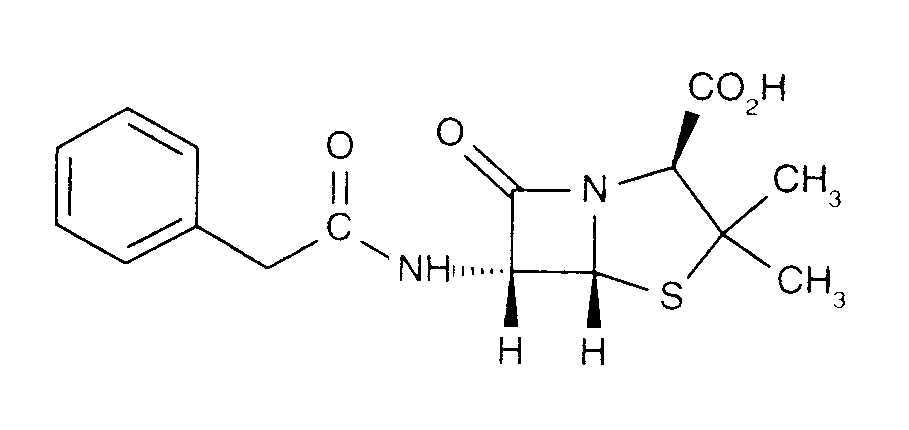
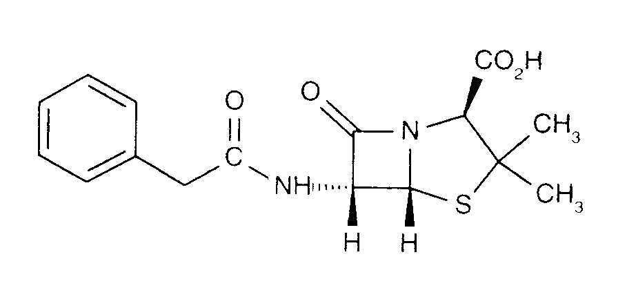
   Struttura chimica  

Nome commerciale   Nome commerciale     

Trade names are indicative and excipients composition can be different depending on the country and manufacturers

Benapen Brasile
Bencilpenicilina Chile, Ecuador, Perù
Benpen Australia, nuova Zelanda
Bensylpenicillin Svezia
Benzapen Iran
Benzatec Africa del Sud
Benzatron Brasile
Benzylpenicillin Danimarca, Egitto, Finlandia, Norvegia, Svezia
Benzylpenicilline Tunisia
Biconcillina Ecuador
Crystapen Canada, Gran Bretagna, Irlanda
Declin Messico
Fortepen Arabia Saudita
Geepenil Finlandia
Natrium penicillin G Paesi Bassi
Novopen Africa del Sud
Pebencil Venezuela
Penbendox Messico
Penibiot Spagna
Penicillin Norvegia
Penicillina G sodica Argentina, Chile, Colombia, Ecuador, Portogallo
Penilevel Spagna
Sodiopen Spagna
Unicillina Spagna
Stabilità in soluzione   Iniezione   Stabilità in soluzione : Penicillin G sodium     
contenitore Solvente Concentrazione Temperatura Conservazione Durata della stabilità Bibliografia
Vetro Acqua per preparato iniettabile 0.01 MUI/ml 2-8°C Al riparo dalla luce
7 Giorno
4922
Livello di evidenza D

Vetro NaCl 0.9% + fenolo 0.4% 0.01 MUI/ml 2-8°C Al riparo dalla luce
2 Giorno
4922
Livello di evidenza D

Cloruro di polivinile Acqua per preparato iniettabile 0,1 & 0,2 MUI/ml 25°C Non precisata
3 Giorno
13
Livello di evidenza B

Cloruro di polivinile Acqua per preparato iniettabile 0,18 MUI/ml -20°C Al riparo dalla luce
30 Giorno
440
Livello di evidenza D

Cloruro di polivinile Cloruro di sodio 0,9% ?? MUI/ml 5°C Al riparo dalla luce
2 Giorno
1263
Livello di evidenza B

Cloruro di polivinile Cloruro di sodio 0,9% 0.0025 MUI/ml 5°C Non precisata
21 Giorno
3648
Livello di evidenza B+

Cloruro di polivinile Cloruro di sodio 0,9% 0.05 MUI/ml 5°C Non precisata
21 Giorno
3648
Livello di evidenza B+

Cloruro di polivinile Glucosio 5% 0,04 MUI/ml -20°C Al riparo dalla luce
39 Giorno
1241
Livello di evidenza B

Cloruro di polivinile Glucosio 5% 0.0025 MUI/ml 5°C Non precisata
21 Giorno
3648
Livello di evidenza B+

Cloruro di polivinile Glucosio 5% 0.05 MUI/ml 5°C Non precisata
21 Giorno
3648
Livello di evidenza B+

siringa polipropilene Acqua per preparato iniettabile 0.01 MUI/ml 2-8°C Al riparo dalla luce
7 Giorno
4922
Livello di evidenza D

siringa polipropilene NaCl 0.9% + fenolo 0.4% 0.01 MUI/ml 2-8°C Al riparo dalla luce
2 Giorno
4922
Livello di evidenza D

Elastomero poliisoprenico Cloruro di sodio 0,9% 0.0025 MUI/ml 5°C Non precisata
21 Giorno
3648
Livello di evidenza B+

Elastomero poliisoprenico Cloruro di sodio 0,9% 0.05 MUI/ml 5°C Non precisata
21 Giorno
3648
Livello di evidenza B+

Elastomero poliisoprenico Glucosio 5% 0.0025 MUI/ml 5°C Non precisata
21 Giorno
3648
Livello di evidenza B+

Elastomero poliisoprenico Glucosio 5% 0.05 MUI/ml 5°C Non precisata
21 Giorno
3648
Livello di evidenza B+

Elastomero poliisoprenico NaCl tampone allo 0,9% citrato 0,3% pH7 0.025 & 0.1 MUI/ml 2-8°C Al riparo dalla luce
6 Giorno
4590
Livello di evidenza A

Elastomero poliisoprenico NaCl tampone allo 0,9% citrato 0,3% pH7 0.025 & 0.1 MUI/ml 37°C Al riparo dalla luce
24 Ora
4590
Livello di evidenza A

Elastomero siliconico NaCl tampone allo 0,9% citrato 0,3% pH7 10 MUI/ml 2-8°C Non precisata
7 Giorno
4874
Livello di evidenza D

Elastomero siliconico NaCl tampone allo 0,9% citrato 0,3% pH7 20 MUI/ml 2-8°C Non precisata
7 Giorno
4874
Livello di evidenza D

Elastomero siliconico NaCl tampone allo 0,9% citrato 0,3% pH7 40 MUI/ml 2-8°C Non precisata
7 Giorno
4874
Livello di evidenza D

Non precisato Cloruro di sodio 0,9% 0,13 MUI/ml 21°C-22°C Non precisata
13 Ora
2056
Livello di evidenza D

Non precisato Cloruro di sodio 0,9% 0,13 MUI/ml 26°C Non precisata
12 Ora
2056
Livello di evidenza D

Non precisato Cloruro di sodio 0,9% 0,13 MUI/ml 3-5°C Non precisata
6 Giorno
2056
Livello di evidenza D

Non precisato Cloruro di sodio 0,9% 0,13 MUI/ml 36°C Non precisata
5 Ora
2056
Livello di evidenza D


  Mentions Légales