Останнє оновлення :
18/03/2026
Антибіотик   Penicillin G sodium  
ін'єкція
Стійкість в розчинах Стійкість сумішей Фактори, що впливають на стабільність Сумісність Шлях введення Список літератури pdf
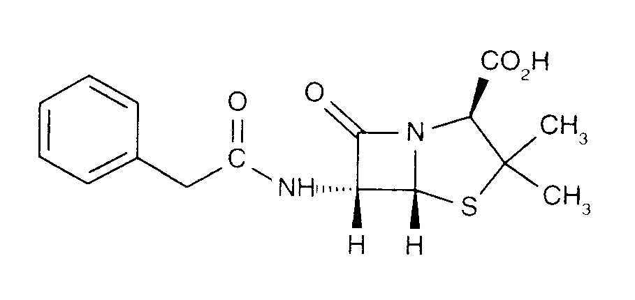
   Хімічна структура  

Торгова назва   Торгова назва     

Торгові назви є орієнтовними, а склад допоміжних речовин може бути різним залежно від країни та виробника

Benapen Бразилія
Bencilpenicilina Еквадор, Перу, Чилі
Benpen Австралія, Нова Зеландія
Bensylpenicillin Швеція
Benzapen Іран
Benzatec Південно-Африканська Республіка
Benzatron Бразилія
Benzylpenicillin Єгипет, Данія, Норвегія, Фінляндія, Швеція
Benzylpenicilline Туніс
Biconcillina Еквадор
Crystapen Ірландія, Великобританія, Канада
Declin Мексика
Fortepen Саудівська Аравія
Geepenil Фінляндія
Natrium penicillin G Нідерланди
Novopen Південно-Африканська Республіка
Pebencil Венесуела
Penbendox Мексика
Penibiot Іспанія
Penicillin Норвегія
Penicillina G sodica Аргентина, Еквадор, Колумбія, Португалія, Чилі
Penilevel Іспанія
Sodiopen Іспанія
Unicillina Іспанія
Шлях введення   Шлях введення :Penicillin G sodium     
Маршрут
Внутрішньовенне вливання
Внутрішньом'язове
Підшкірний
Внутрішньоплевральний
Внутрішньосуглобовий

  Mentions Légales