最新更新 :
27/11/2025
抗生素   Penicillin G sodium  
注射液
溶液稳定性 混合物稳定性 影响稳定性的因素 兼容性 用药途径 引用文献 PDF
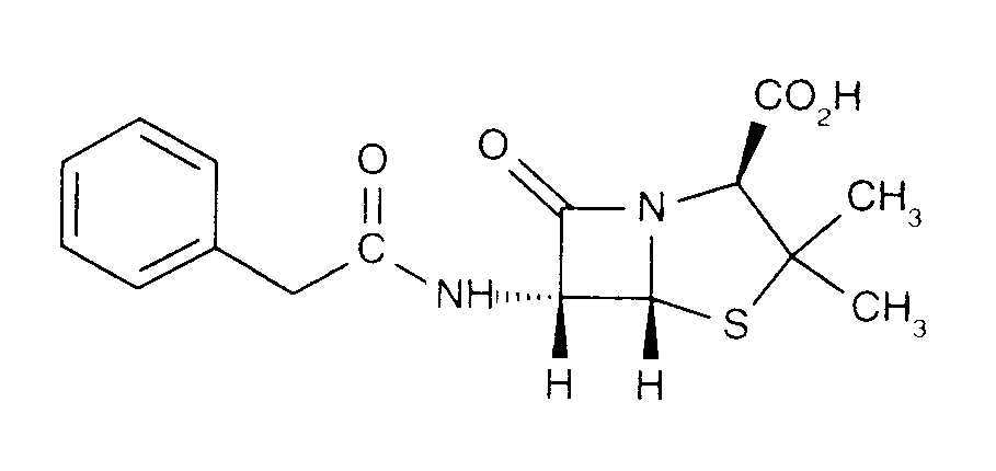
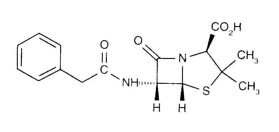
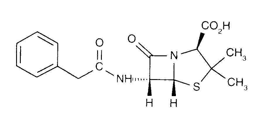
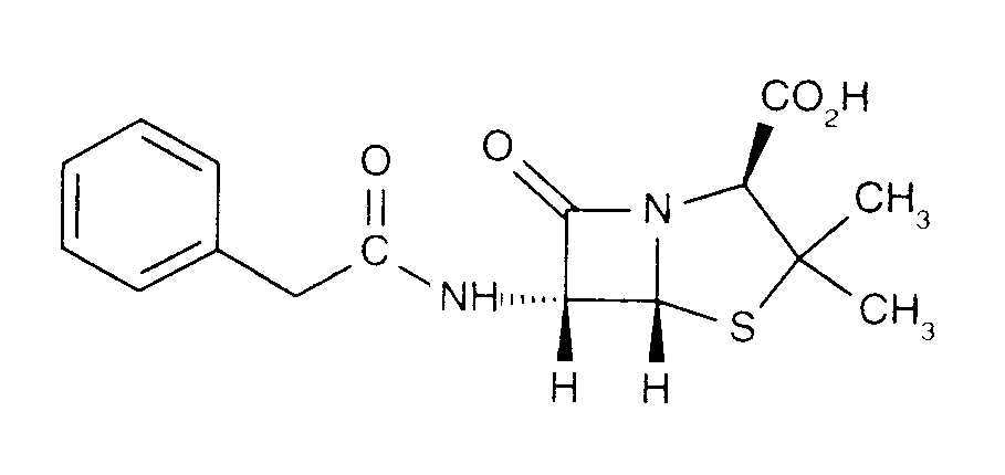
   化学式  

商品名   商品名     

商品名仅供参考, 药品所用的辅料可能依国家或厂商不同有所不同。

Benapen 巴西
Bencilpenicilina 厄瓜多尔, 智利, 秘鲁
Benpen 新西蘭, 澳大利亚
Bensylpenicillin 瑞典
Benzapen 伊朗
Benzatec 南非
Benzatron 巴西
Benzylpenicillin 丹麦, 埃及, 挪威, 瑞典, 芬兰
Benzylpenicilline 突尼斯
Biconcillina 厄瓜多尔
Crystapen 加拿大, 爱尔兰, 英国
Declin 墨西哥
Fortepen 沙特阿拉伯
Geepenil 芬兰
Natrium penicillin G 荷兰
Novopen 南非
Pebencil 委内瑞拉
Penbendox 墨西哥
Penibiot 西班牙
Penicillin 挪威
Penicillina G sodica 厄瓜多尔, 哥伦比亚, 智利, 葡萄牙, 阿根廷
Penilevel 西班牙
Sodiopen 西班牙
Unicillina 西班牙
用药途径   用药途径 :Penicillin G sodium     
路线
静脉输液
肌肉内
皮下
胸腔内
关节内

  Mentions Légales