Τελευταία ενημέρωση :
18/03/2026
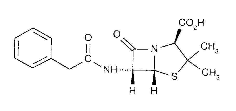
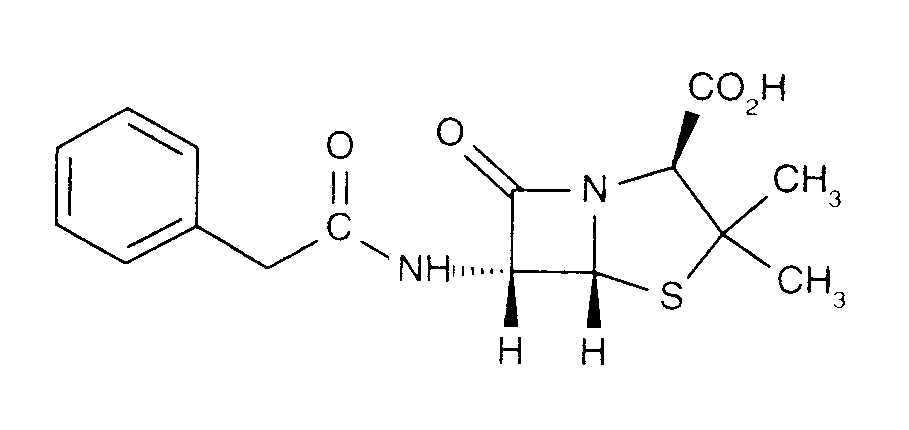
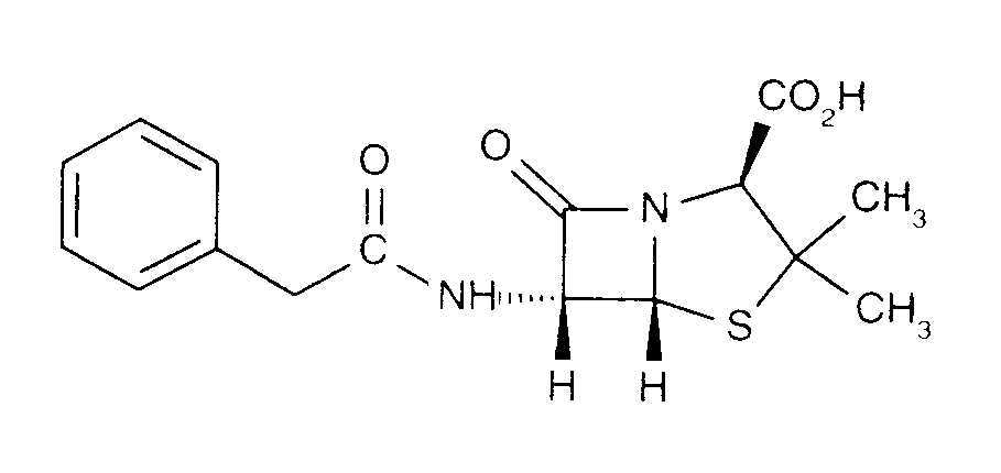
Αντιβιοτικό   Penicillin G sodium  
Ενέσιμο
Σταθερότητα διαλυμάτων Σταθερότητα σε μίγματα Παράγοντας που επηρεάζει τη σταθερότητα Συμβατότητες Τρόπος χορήγησης Βιβλιογραφία pdf
   χημική δομή  

Εμπορική ονομασία   Εμπορική ονομασία     

Οι εμπορικές ονομασίες είναι ενδεικτικές και η σύνθεση των εκδόχων μπορεί να διαφέρει ανάλογα με τη χώρα και τα εργαστήρια

Benapen Βραζιλία
Bencilpenicilina Εκουαδόρ, Περού, Χιλή
Benpen Αυστραλία, νέα Ζηλανδία
Bensylpenicillin Σουηδία
Benzapen Ιράν
Benzatec Νότιος Αφρική
Benzatron Βραζιλία
Benzylpenicillin Αίγυπτος, Δανία, Νορβηγία, Σουηδία, Φινλανδία
Benzylpenicilline Τυνησία
Biconcillina Εκουαδόρ
Crystapen Ιρλανδία, Καναδάς, Μεγάλη Βρετανία
Declin Μεξικό
Fortepen Σαουδική Αραβία
Geepenil Φινλανδία
Natrium penicillin G Ολλανδία
Novopen Νότιος Αφρική
Pebencil Βενεζουέλα
Penbendox Μεξικό
Penibiot Ισπανία
Penicillin Νορβηγία
Penicillina G sodica Αργεντινή, Εκουαδόρ, Κολομβία, Πορτογαλία, Χιλή
Penilevel Ισπανία
Sodiopen Ισπανία
Unicillina Ισπανία
Τρόπος χορήγησης   Τρόπος χορήγησης :Penicillin G sodium     
Voie
Ενδοφλέβια έκχυση
Ενδομυϊκή
Υποδόριος
Ενδοπλεύριος
Ενδοαρθρωτική

  Mentions Légales