Última actualización :
27/11/2025
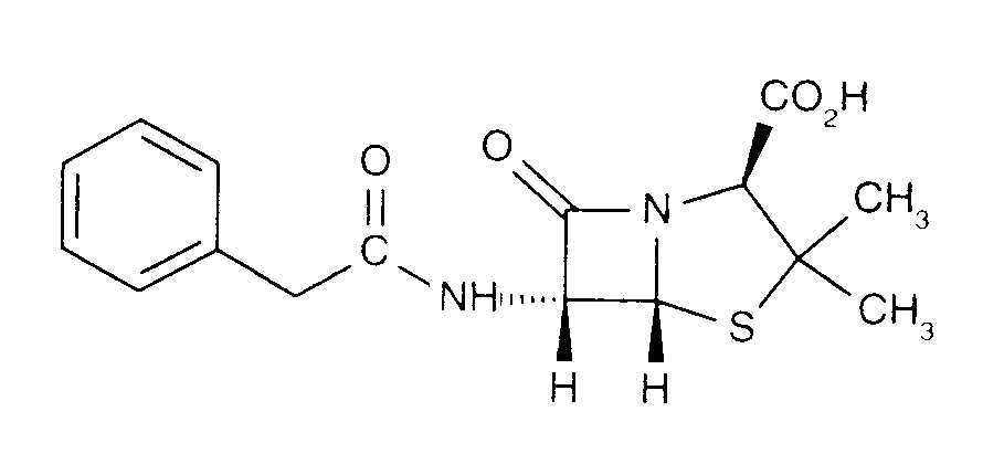
Antibiótico   Penicillin G sodium  
Inyectables
Estabilidad en solucion Estabilidad en mezcla Factores que influyen sobre la estabilidad Compatibilidades método de inyección Bibliografía pdf
   Estructura química  

Nombre comercial   Nombre comercial     

Los nombres comerciales son orientativos y los excipientes de la formulación pueden ser distintos dependiendo del país y del laboratorio fabricante.

Benapen Brasil
Bencilpenicilina Chile, Ecuador, Marruecos
Benpen Australia, Nueva Zelanda
Bensylpenicillin Suecia
Benzapen Irán
Benzatec Sudafrica
Benzatron Brasil
Benzylpenicillin Dinamarca, Egipto, Finlandia, Noruega, Suecia
Benzylpenicilline Túnez
Biconcillina Ecuador
Crystapen Canadá, Gran Bretaña, Irlanda
Declin México
Fortepen Arabia Saudita
Geepenil Finlandia
Natrium penicillin G Países Bajos
Novopen Sudafrica
Pebencil Venezuela
Penbendox México
Penibiot España
Penicillin Noruega
Penicillina G sodica Argentina, Chile, Colombia, Ecuador, Portugal
Penilevel España
Sodiopen España
Unicillina España
método de inyección   método de inyección :Penicillin G sodium     
Voie
Perfusión intravenosa
Intramuscular
Subcutánea
Intrapleural
Intraarticular

  Mentions Légales