Seneste opdatering :
27/11/2025
Antibiotisk   Penicillin G sodium  
Injektion
Stabilitet i (vandige) opløsninger Stabilitet i blandinger Faktorer der påvirker stabiliteten Kompatibilitet Administrationsvej Bibliografi pdf
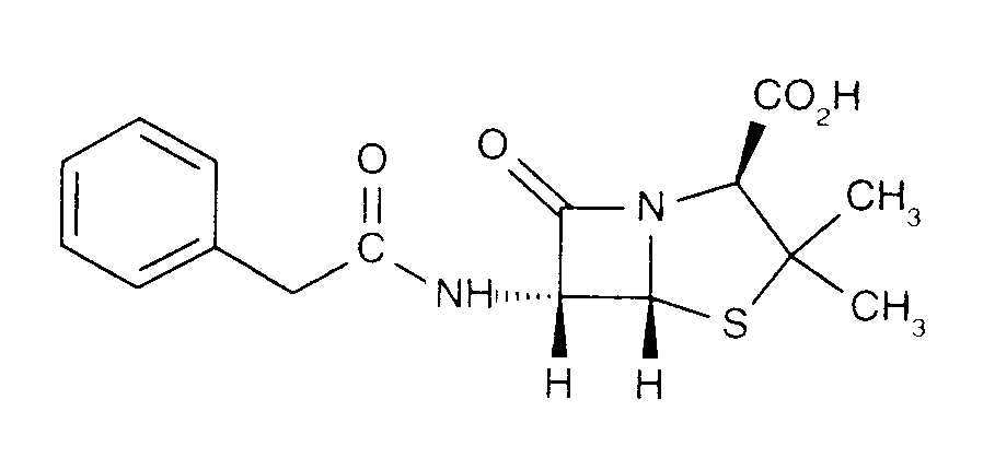
   Kemisk struktur  

Handelsnavn   Handelsnavn     

Handel navne er vejledende og hjælpestoffer sammensætning kan være forskellig afhængigt af landet og laboratorier

Benapen Brasilien
Bencilpenicilina Chile, Ecuador, Marokko
Benpen Australien, New Zealand
Bensylpenicillin Sverige
Benzapen Iran
Benzatec Sydafrika
Benzatron Brasilien
Benzylpenicillin Danmark, Finland, Norge, Sverige, Ægypten
Benzylpenicilline Tunesien
Biconcillina Ecuador
Crystapen Canada, Irland, Storbritanien
Declin Mexico
Fortepen Saudi-Arabien
Geepenil Finland
Natrium penicillin G Holland
Novopen Sydafrika
Pebencil Venezuela
Penbendox Mexico
Penibiot Spanien
Penicillin Norge
Penicillina G sodica Argentina, Chile, Colombia, Ecuador, Portugal
Penilevel Spanien
Sodiopen Spanien
Unicillina Spanien
Administrationsvej   Administrationsvej :Penicillin G sodium     
Voie
Intravenøs infusion
Intramuskulær
Subcutan
Intrapleural
Intraarticulær

  Mentions Légales