Pēdējā atjaunošana :
18/03/2026
Antibiotika   Penicillin G sodium  
Injekcija
Šķīduma stabilitāte Maisījuma stabilitāte Stabilitāti ietekmējoši faktori Saderība Levadīšanas veids Literatūras saraksts pdf
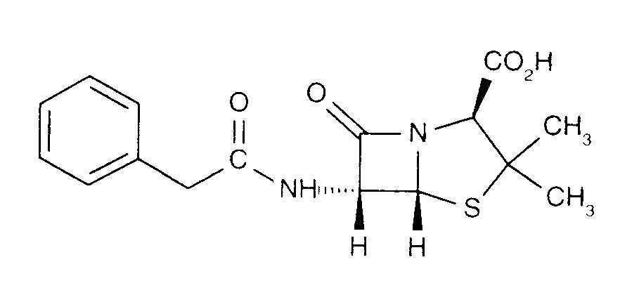
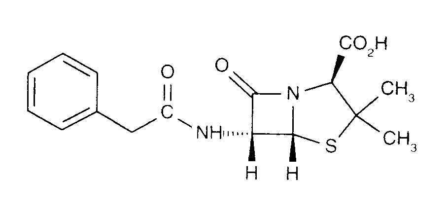
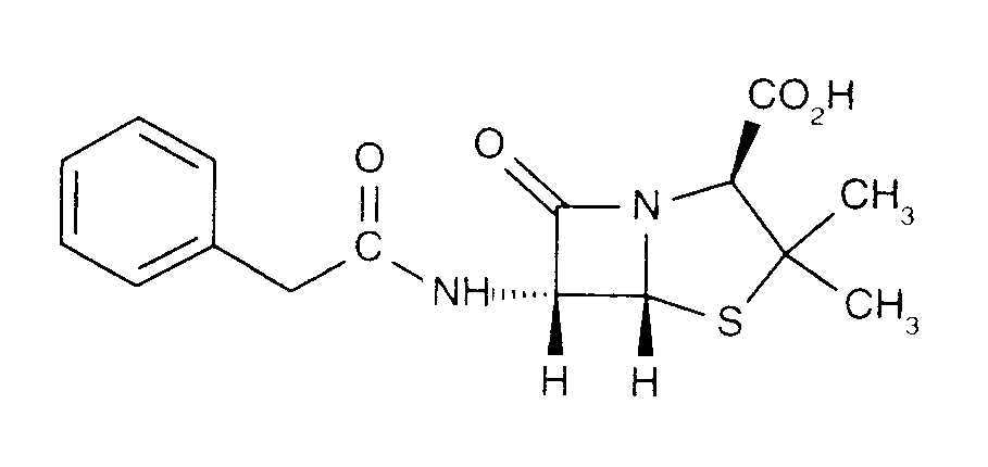
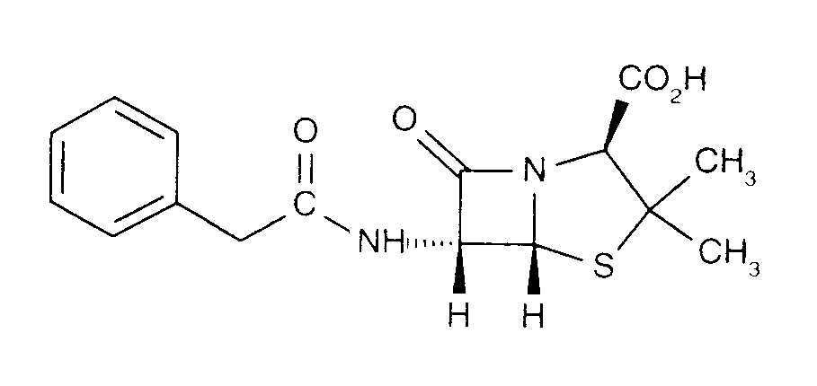
   Ķīmiskā uzbūve   

Oriģinālais nosaukums   Oriģinālais nosaukums     

Tirdzniecības nosaukumi ir apzīmējoši un palīgvielas var atšķirties dažādām valstīm un laboratorijām

Benapen Brazīlija
Bencilpenicilina Čīle, Ekvadora, Peru
Benpen Austrālija, Jaunzēlande
Bensylpenicillin Zviedrija
Benzapen Irāna
Benzatec Dienvidāfrikas Republika
Benzatron Brazīlija
Benzylpenicillin Dānija, Ēģipte, Norvēģija, Somija, Zviedrija
Benzylpenicilline Tunisija
Biconcillina Ekvadora
Crystapen Īrija, Kanāda, Lielbritānija
Declin Meksika
Fortepen Saūda Arābija
Geepenil Somija
Natrium penicillin G Holande
Novopen Dienvidāfrikas Republika
Pebencil Venecuēla
Penbendox Meksika
Penibiot Spānija
Penicillin Norvēģija
Penicillina G sodica Argentīna, Čīle, Ekvadora, Kolumbija, Portugāle
Penilevel Spānija
Sodiopen Spānija
Unicillina Spānija
Levadīšanas veids   Levadīšanas veids :Penicillin G sodium     
Voie
Intravenoza infūzija
Intramuskulāri
Zem ādas
Intrapleirāli
Locītavā

  Mentions Légales