Dernière mise à jour :
18/03/2026
Antibiotique   Penicillin G sodium  
injectable
Stabilité des solutions Stabilité en mélange Facteur influençant la stabilité Compatibilités Voie d’administration Bibliographie pdf
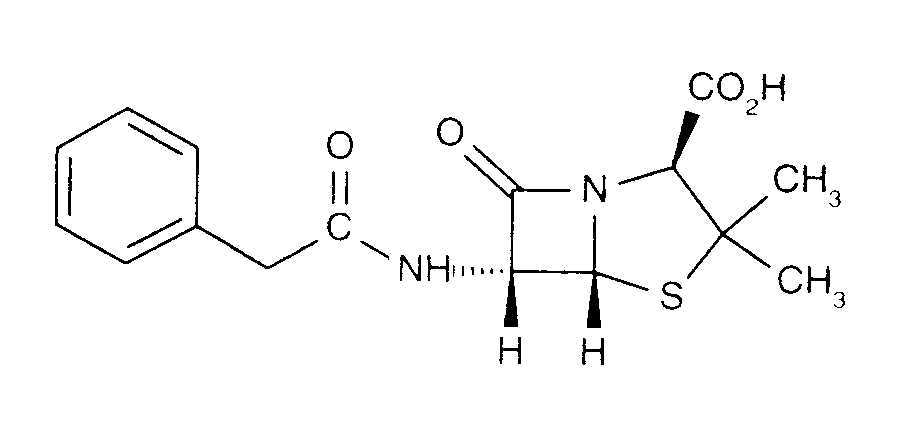
   Structure chimique  

Noms commerciaux   Noms commerciaux     

Les noms commerciaux sont donnés à titre indicatif et la composition en excipients peut être différente selon les pays et selon les laboratoires

Benapen Brésil
Bencilpenicilina Chili, Equateur, Pérou
Benpen Australie, Nouvelle Zélande
Bensylpenicillin Suède
Benzapen Iran
Benzatec Afrique du sud
Benzatron Brésil
Benzylpenicillin Danemark, Egypte, Finlande, Norvège, Suède
Benzylpenicilline Tunisie
Biconcillina Equateur
Crystapen Canada, Grande Bretagne, Irlande
Declin Mexique
Fortepen Arabie Saoudite
Geepenil Finlande
Natrium penicillin G Pays bas
Novopen Afrique du sud
Pebencil Vénézuela
Penbendox Mexique
Penibiot Espagne
Penicillin Norvège
Penicillina G sodica Argentine, Chili, Colombie, Equateur, Portugal
Penilevel Espagne
Sodiopen Espagne
Unicillina Espagne
Voie d’administration   Voie d’administration :Penicillin G sodium     
Voie
Perfusion intraveineuse
Intramusculaire
Sous cutanée
Intrapleurale
Intraarticulaire

  Mentions Légales