zadnja posodobitev :
27/11/2025
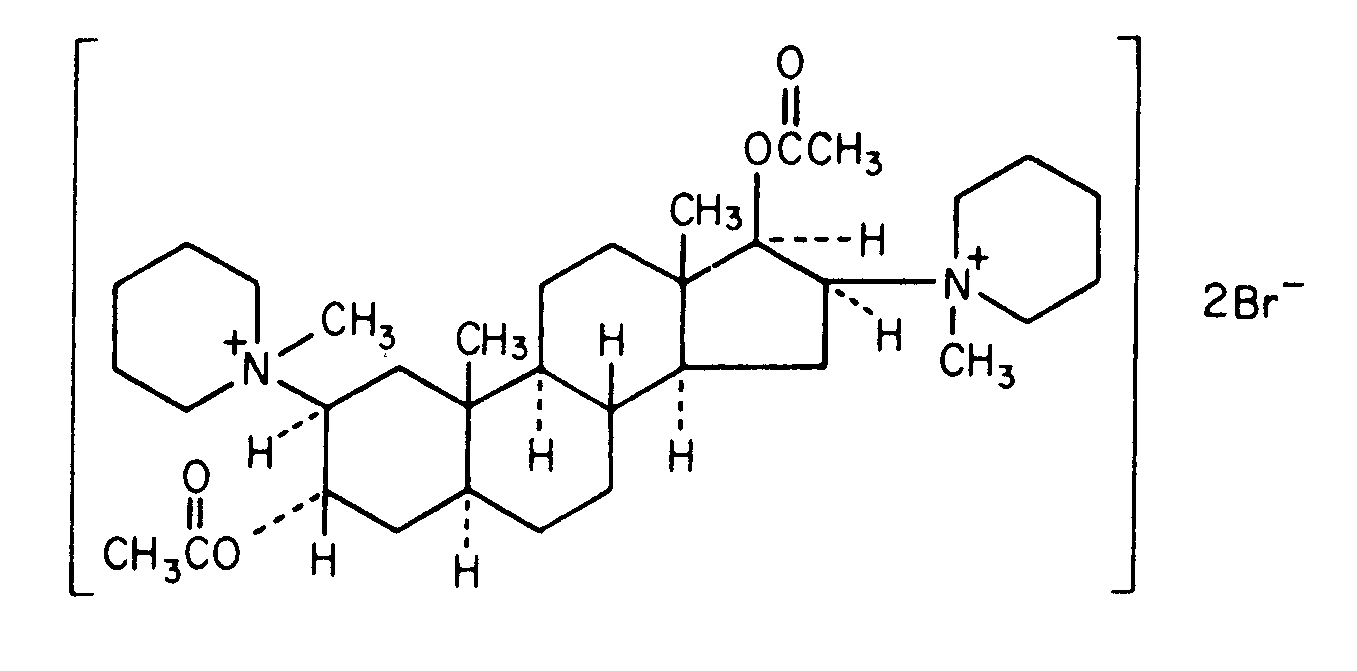
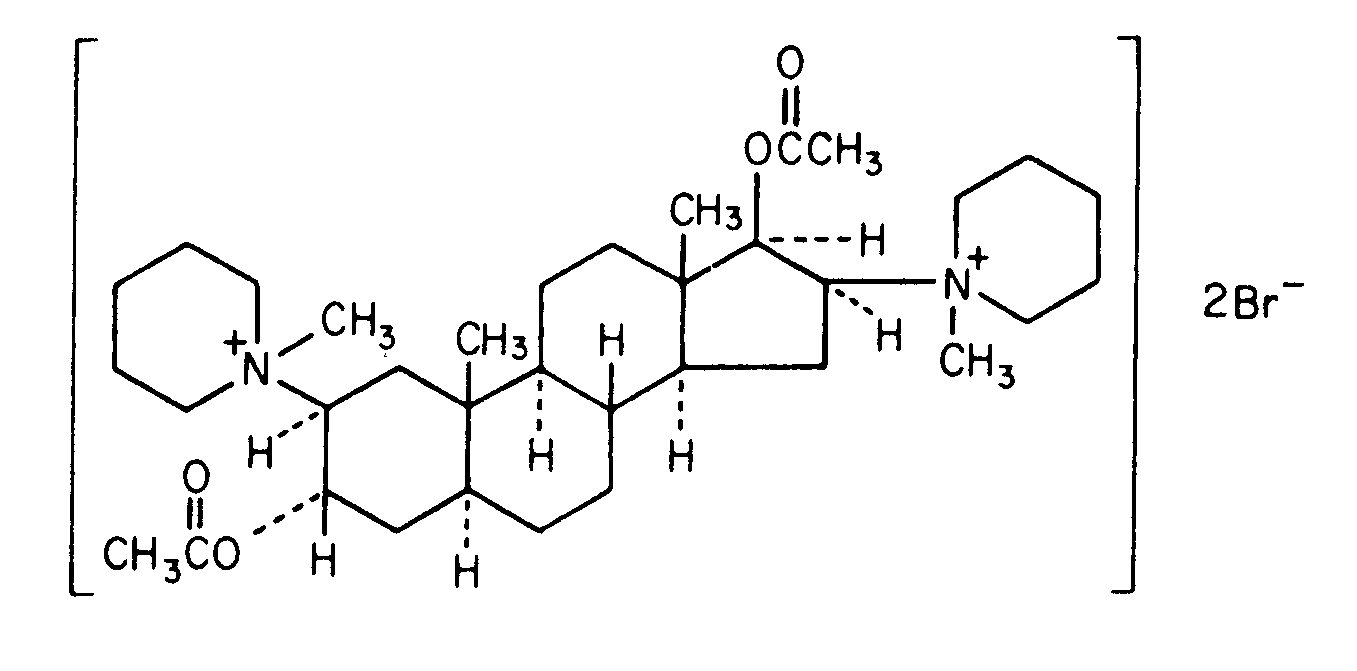
Kurarimetik   Pancuronium bromide  
Brizgalka
Stabilnost raztopine Stabilnost mešanice Faktorji, ki vplivajo na stabilnost Kompatibilnost način aplikacije Viri pdf
   Kemična formula  

Lastniško ime   Lastniško ime     

Sestava pomožnih snovi je med paralelami lahko različna

Pancuronium bromide injection Kanada, Združene države Amerike
Stabilnost raztopine   Brizgalka   Stabilnost raztopine : Pancuronium bromide     
Vsebnik Topilo Koncentracija Temperatura Shranjevanje Trajanje stabilnosti Viri
Steklo Posebni topila 2 mg/ml 2-8°C Nedoločeno
912 Dan
4773
 Stopnja dokaza B+


  Mentions Légales