Dernière mise à jour :
18/03/2026
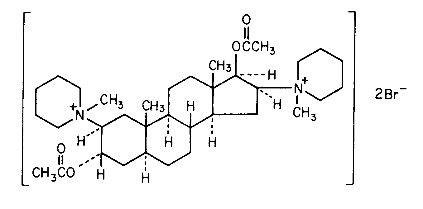
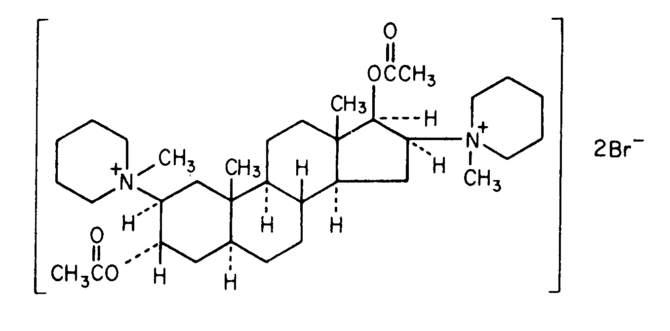
Curarisant   Pancuronium bromide  
injectable
Stabilité des solutions Stabilité en mélange Facteur influençant la stabilité Compatibilités Voie d’administration Bibliographie pdf
   Structure chimique  

Noms commerciaux   Noms commerciaux     

Les noms commerciaux sont donnés à titre indicatif et la composition en excipients peut être différente selon les pays et selon les laboratoires

Pancuronium bromide injection Canada, Etats Unis d’Amérique
Stabilité des solutions   injectable   Stabilité des solutions : Pancuronium bromide     
Contenant Solvant Concentration Température Conservation Durée de stabilité Bibliographie
Verre Solvant spécifique 2 mg/ml 2-8°C Non précisée
912 Jour
4773
Niveau de preuve B +


  Mentions Légales