Zadnji put ažurirano :
27/11/2025
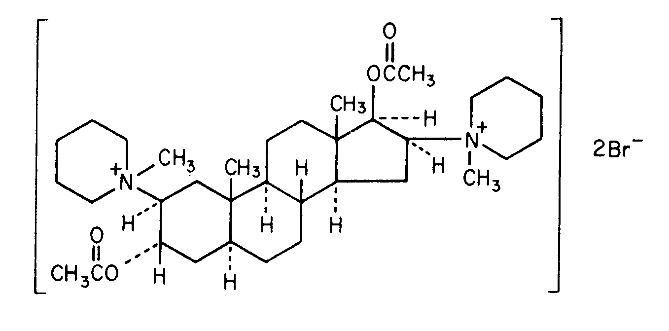
narkotizirajuće djelovanje pomoću kurarina   Pancuronium bromide  
injekcija
Stabilizacija rješenja Stabilnost mješavine Stabilizacijski faktor Kompatibilnosti način davanja lijeka Bibliografija pdf
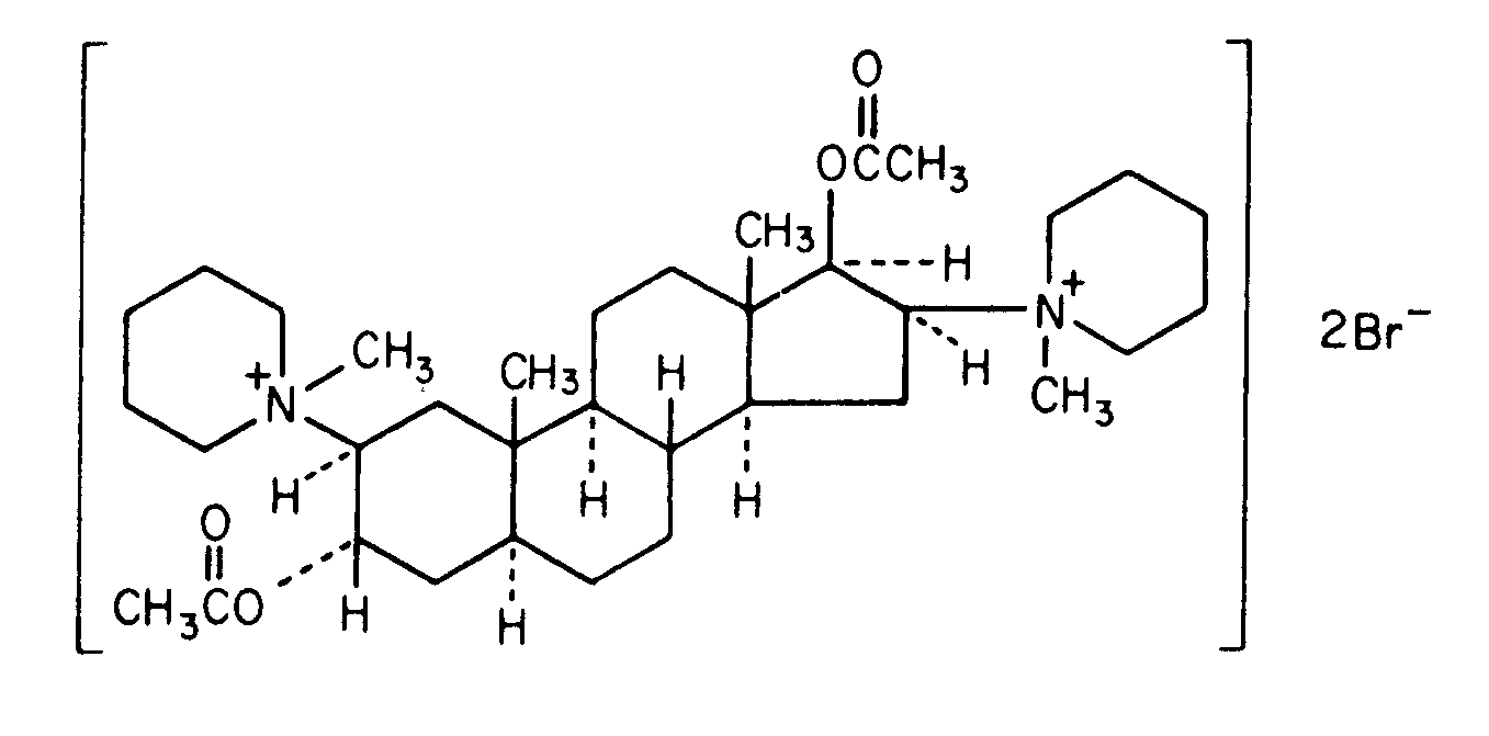
   Kemijska struktura  

Nekomercijalni   Nekomercijalni     

Zaštićeni nazivi su indikativni i sastav ekscipijensa može biti različit ovisno o državi i laboratorijima

Pancuronium bromide injection Kanada, S A D
Stabilizacija rješenja   injekcija   Stabilizacija rješenja : Pancuronium bromide     
Kontejner sredstvo za rastapanje koncentracija temperatura Konzerviranje Trajanje stabilnosti Bibliografija
čaša Specifična otapala 2 mg/ml 2-8°C nespecifičan
912 dan
4773
Razina dokaza B+


  Mentions Légales