آخر تحديث :
27/11/2025
 أدوية علاجيه   Pancuronium bromide  
حقن
الاستقرار في حلول استقرار مخاليط العوامل التي تؤثر على الاستقرار التوافق طريقة التعاطي مراجع pdf
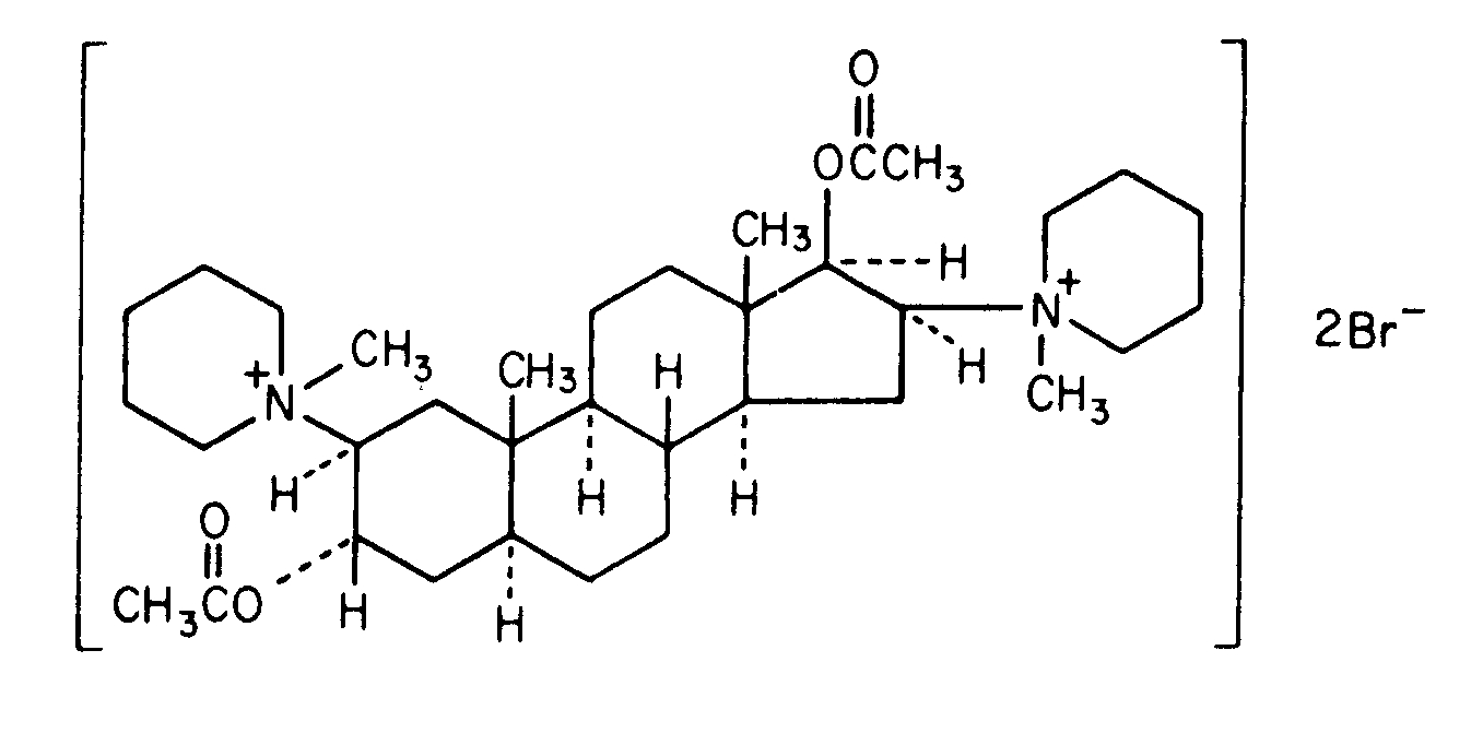
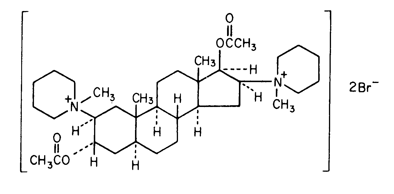
   التركيب الكيميائي  

حجز الاسم التجاري   حجز الاسم التجاري     

تحذير الأسماء التجاريه المختلفه قد تحتوي علي محتوي إضافات مختلفة حسب الدوله و المعمل

Pancuronium bromide injection الولايات المتحدة, كندا
الاستقرار في حلول   حقن   الاستقرار في حلول : Pancuronium bromide     
حاوية مذيب تركيز درجة الحرارة تخزين مدة الاستقرار مراجع
زجاج مذيب معين 2 mg/ml 2-8°C لم يتم تحديد
912 يوم
4773
B+ مستوى الأدلة


  Mentions Légales