Τελευταία ενημέρωση :
27/11/2025
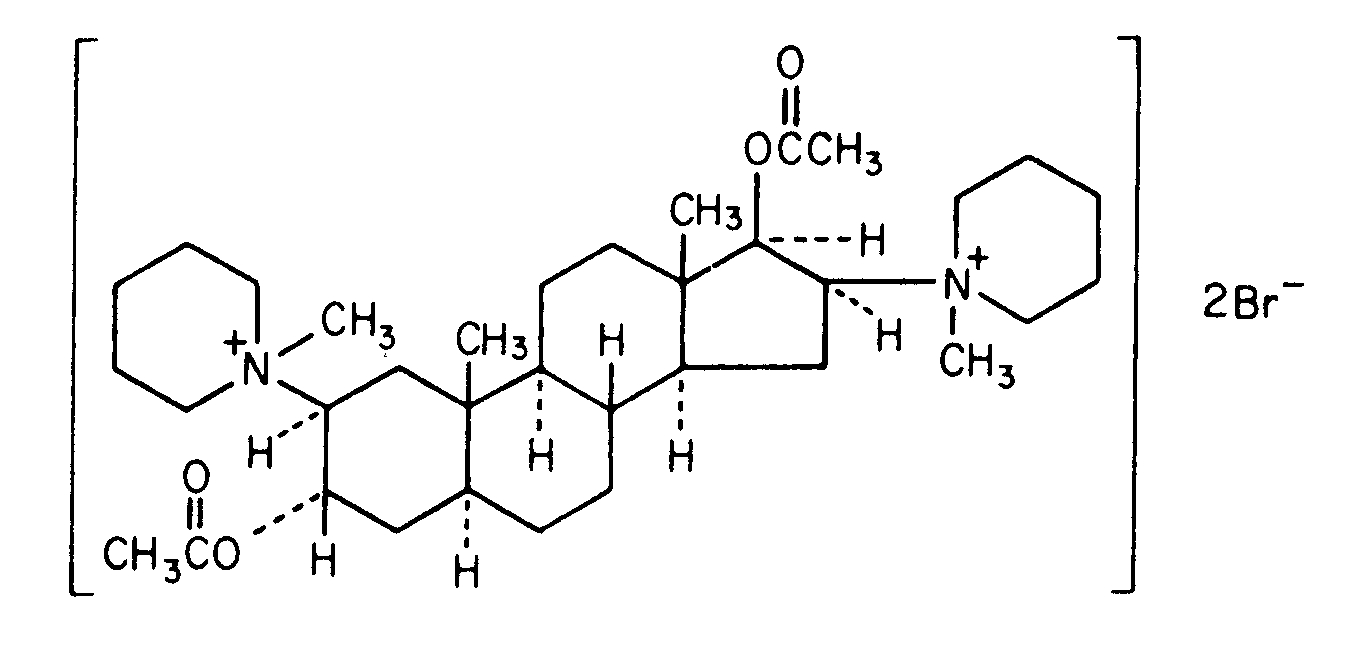
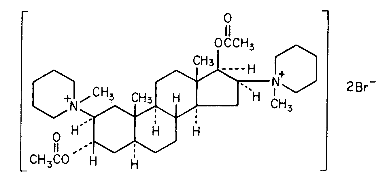
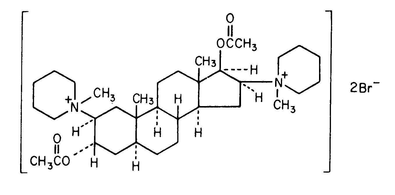
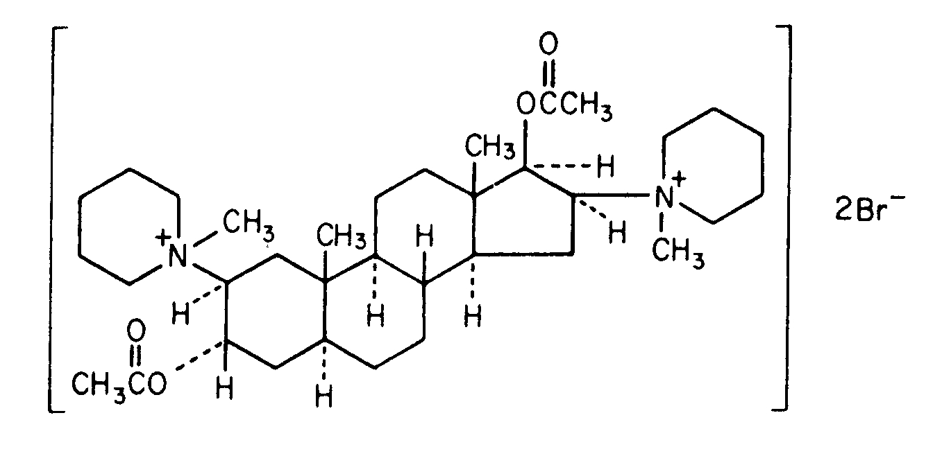
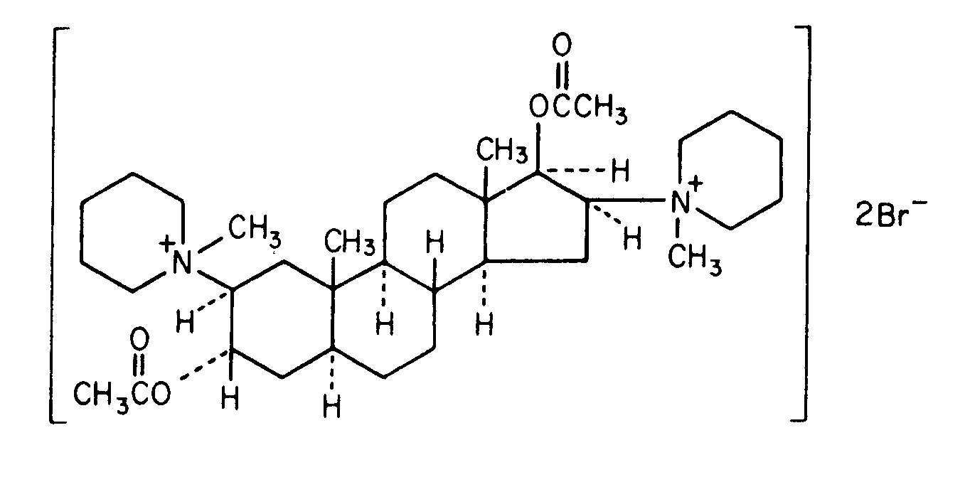
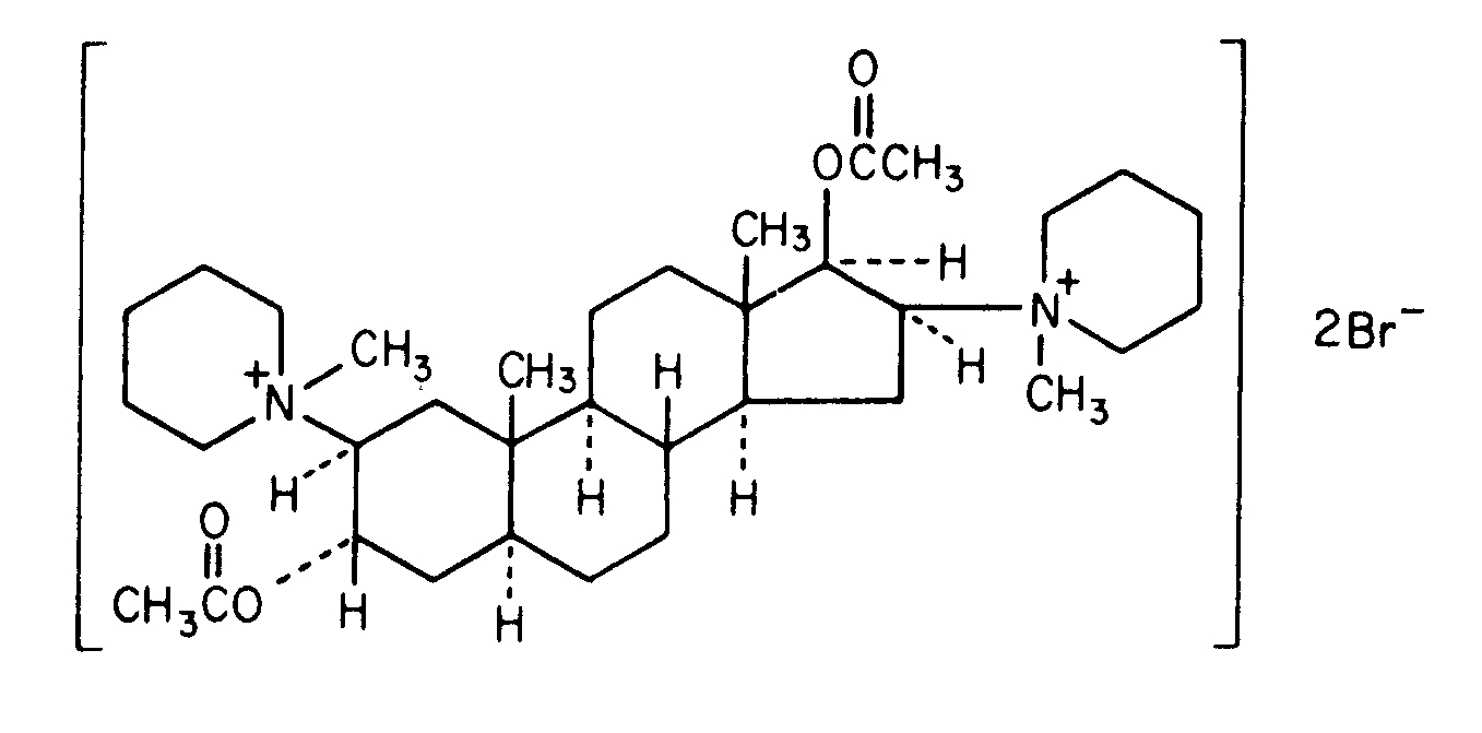
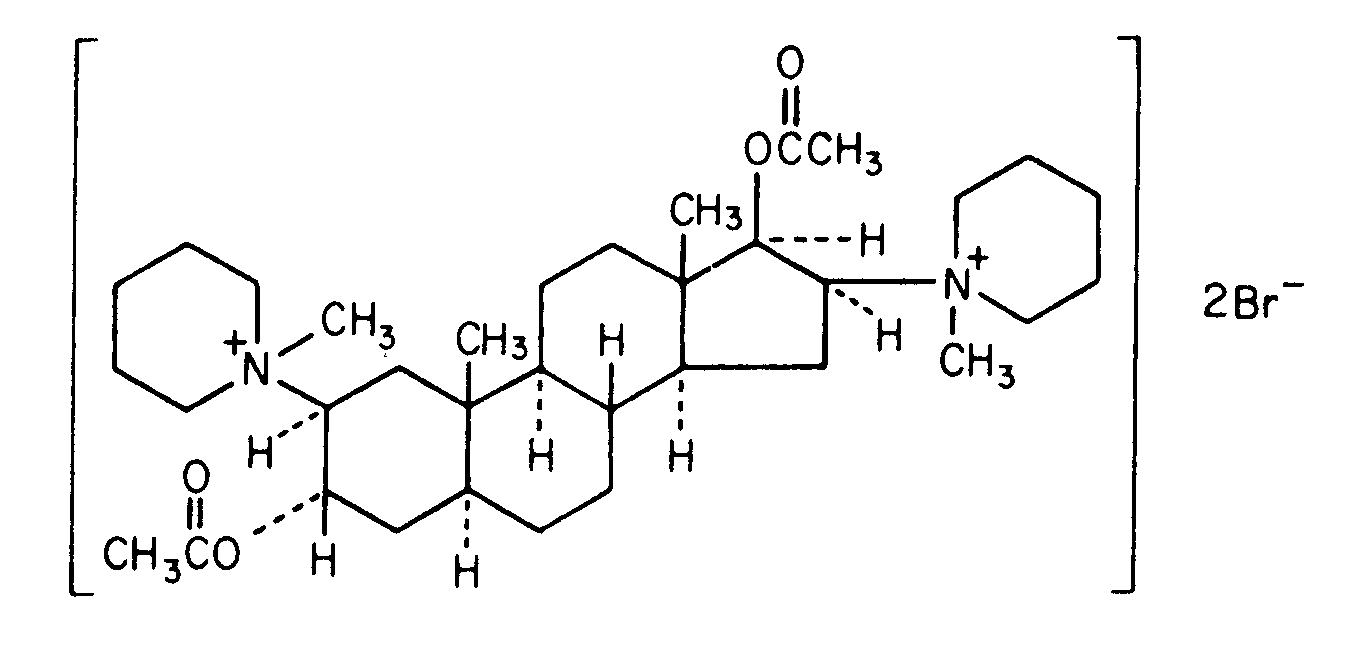
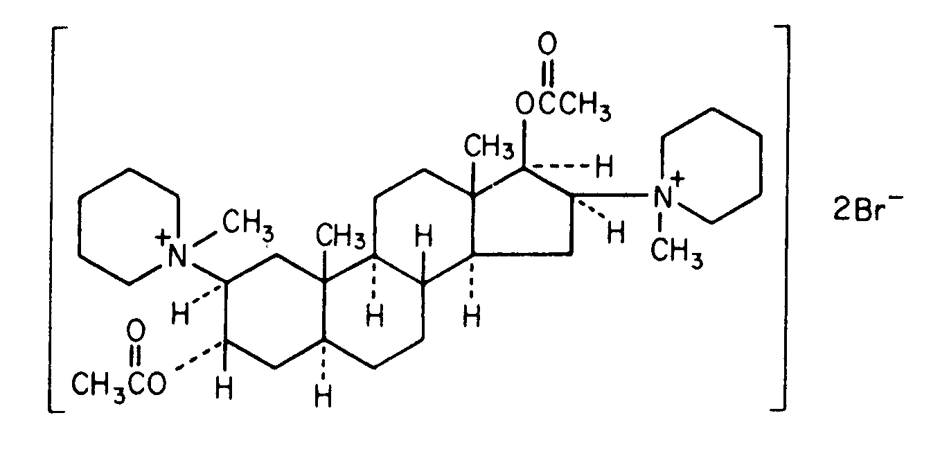
Κουραριομιμητικό   Pancuronium bromide  
Ενέσιμο
Σταθερότητα διαλυμάτων Σταθερότητα σε μίγματα Παράγοντας που επηρεάζει τη σταθερότητα Συμβατότητες Τρόπος χορήγησης Βιβλιογραφία pdf
   χημική δομή  

Εμπορική ονομασία   Εμπορική ονομασία     

Οι εμπορικές ονομασίες είναι ενδεικτικές και η σύνθεση των εκδόχων μπορεί να διαφέρει ανάλογα με τη χώρα και τα εργαστήρια

Pancuronium bromide injection Η.Π.Α., Καναδάς
Σταθερότητα διαλυμάτων   Ενέσιμο   Σταθερότητα διαλυμάτων : Pancuronium bromide     
Υποδοχέας Διαλυτικό Συγκέντρωση Θερμοκρασία Αποθήκευση Διάρκεια σταθερότητας Βιβλιογραφία
Ύαλος Ειδικά διαλύτη 2 mg/ml 2-8°C Απροσδιόριστο
912 Ημέρα
4773
Επίπεδο των αποδεικτικών στοιχείων B+


  Mentions Légales