Ultimele actualizari :
18/03/2026
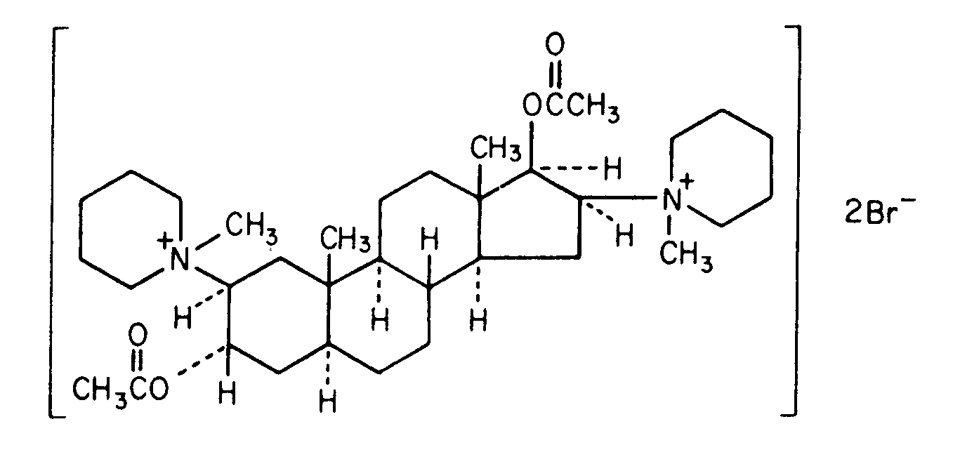
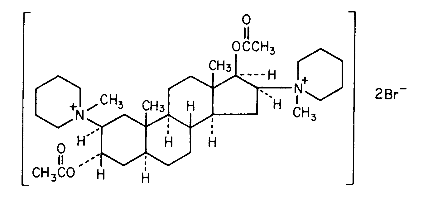
Curarizant   Pancuronium bromide  
Injectabil
Stabilitatea in solutie Stabilitatea in amestec Factorii care influenteaza stabilitatea Compatibilitate Microunde Bibliografie pdf
   Formula chimica  

Denumirea comerciala   Denumirea comerciala     

Trade names are indicative and excipients composition can be different depending on the country and manufacturers

Pancuronium bromide injection Canada, SUA
Stabilitatea in solutie   Injectabil   Stabilitatea in solutie : Pancuronium bromide     
Continut Solvent Concentratie Temperatura Conservare Durata stabilității Bibiografie
sticla specific de solvent 2 mg/ml 2-8°C Neprecizat
912 Ziua
4773
Nivel de evidență B+


  Mentions Légales