Senaste uppdateringen :
18/03/2026
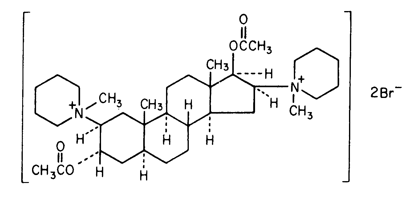
Muskel avslappande medel   Pancuronium bromide  
injektion
Lösningars stabilitet Stabilitet i blandningar Faktorer som påverkar stabiliteten Kompatibilitet Administreringssätt Hänvisningar pdf
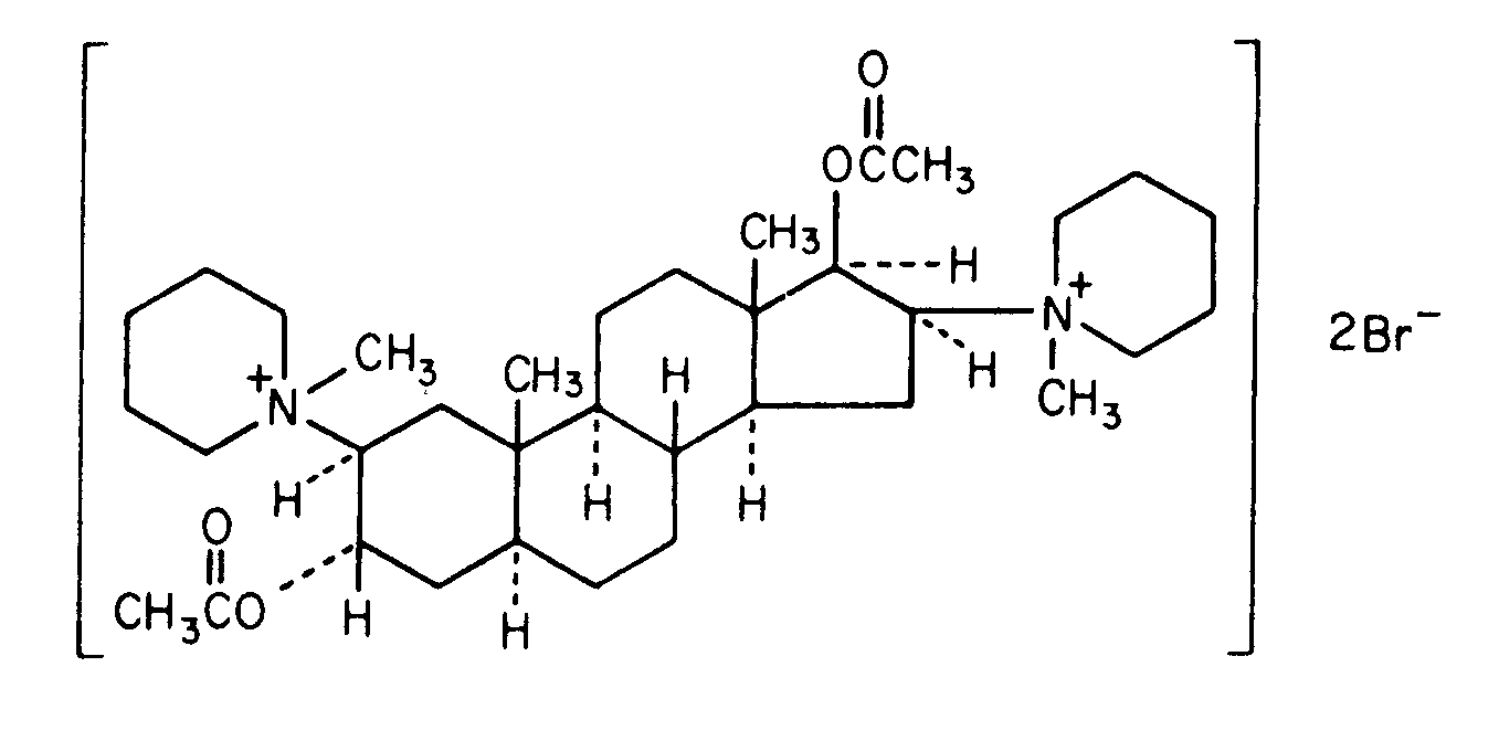
   Molekylstruktur  

Varunamn   Varunamn     

Angivna handelsnamn på läkemedel är enbart vägledande då formulering inklusive hjälpämnen kan variera mellan länder och tillverkare

Pancuronium bromide injection Förenta Staterna, Kanada

Faktorer som påverkar stabiliteten   injektion   Faktorer som påverkar stabiliteten : Pancuronium bromide        
Ingen uppgift

  Mentions Légales