Last update :
18/03/2026
Curarimimetic   Pancuronium bromide  
injection
Stability in solutions Stability of mixtures Factors which affect stability Compatibility Route of administration References pdf
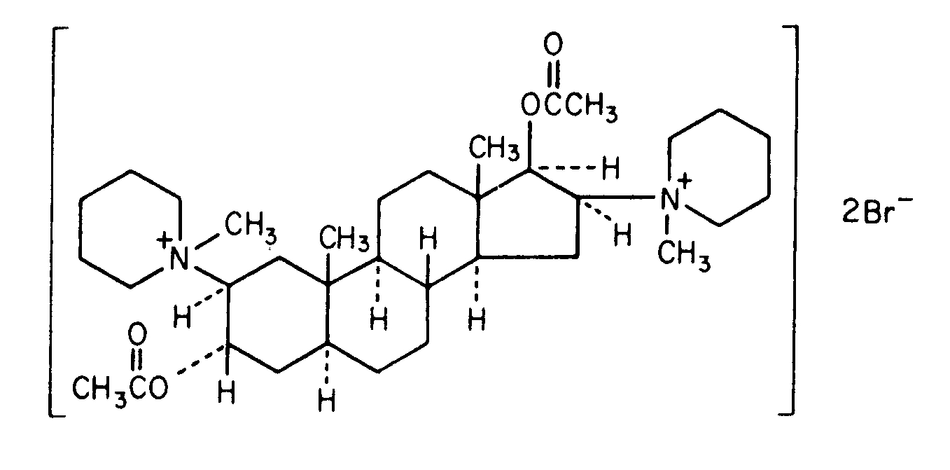
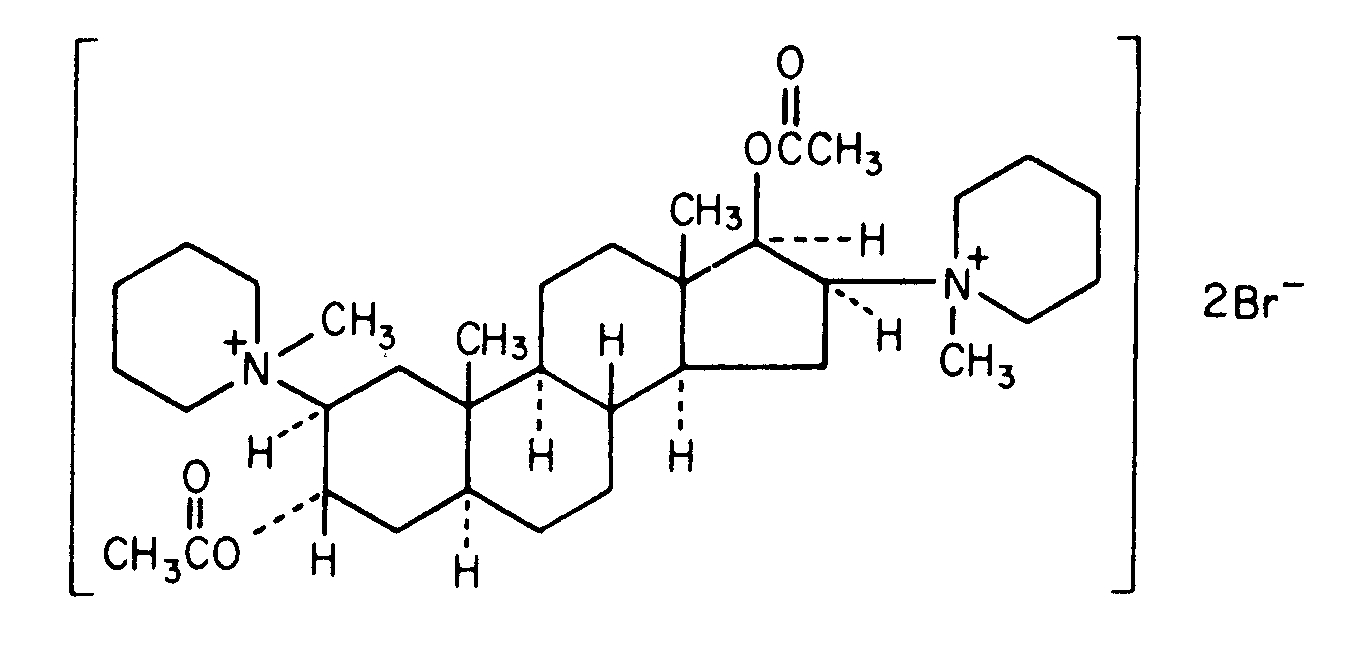
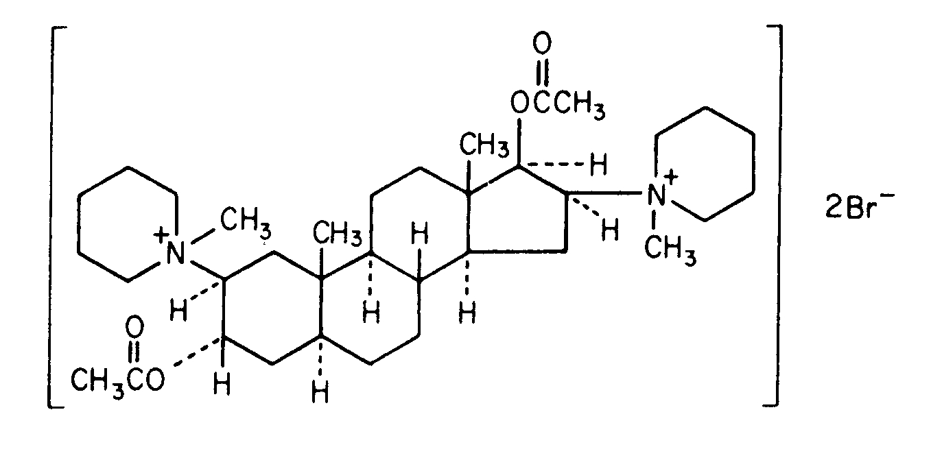
   Chemical structure  

Tradename   Tradename     

Trade names are indicative and excipients composition can be different depending on the country and manufacturers

Pancuronium bromide injection Canada, United States of America

Factors which affect stability   injection   Factors which affect stability : Pancuronium bromide        
No data

  Mentions Légales